рефераты бесплатно
рефераты бесплатно
Главная
Исторические личности
Журналистика
Зоология
Инвестиции
Информатика
История техники
Кибернетика
Коммуникация и связь
Косметология
Криминалистика
Криминология
Кулинария
Культура и искусство
Культурология
Международное публичное право
Международное частное право
Международные отношения
Менеджмент
Металлургия
Налогообложение
Наука и техника
Сельское лесное хозяйство и землепользование
Социальная работа
Социология и обществознание
Спорт и туризм
Строительство и архитектура
Таможенная система
Транспорт

Реферат: Исследование системы программного регулирования скорости вращения рабочего органа шпинделя


Реферат: Исследование системы программного регулирования скорости вращения рабочего органа шпинделя

ИНСТИТУТ ИНТЕГРАЦИИ МЕЖДУНАРОДНЫХ ОБРАЗОВАТЕЛЬНЫХ ПРОГРАММ

КГНУ

Кыргызско-Американский Факультет Компьютерных

Технологий и ИНТЕРНЕТ (КАФ-ИНТЕРНЕТ)

 


Курсовая работа

По курсу: « Основы теории управления »

Тема: « Исследование системы програмного

      регулирования скорости вращения рабочего

     органа шпинделя »

 

                 

Выполнил:                                                                 студент гр. КИС-3-97

Краснов И.С.

Проверил:                                                                     преподаватель

                                                                                              Алишеров С. А.

           

Бишкек – 1999



СОДЕРЖАНИЕ:

ВВЕДЕНИЕ....................................................................................................................................................................................... 2

Исходные данные................................................................................................................................................................ 3

1.Структурная схема системы................................................................................................................................. 5

2. Определение коэффициента усиления электронного усилителя по заданной точности.      7

3. Определение устойчивости системы методом Михайлова А.Б.......................................... 9

4. Коррекция системы..................................................................................................................................................... 10

4.1.   Построение ЛАЧХ корректирующего устройства.......................................................................................... 10

4.1.1.    ЛАЧХ разомкнутой нескоректированной системы Lнс (w)........................................................................ 10

4.1.2.   ЛАЧХ желаемой системы Lж(w)........................................................................................................................ 11

4.1.3.   ЛАЧХ корректирующего устройства Lк(w)..................................................................................................... 12

4.2.   Техническая реализация корректирующего устройства........................................................................... 13

I-Звено:...................................................................................................................................................................................... 13

II-Звено:..................................................................................................................................................................................... 14

III-Звено:................................................................................................................................................................................... 14

IV-Операционный усилитель:............................................................................................................................................. 15

4.3. Проверка правильности выбора корректирующих звеньев.......................................................................... 16

5. Построение переходного процесса и определение прямых показателей     качества. 17

ЗАКЛЮЧЕНИЕ............................................................................................................................................................................. 18

СПИСОК ЛИТЕРАТУРЫ.......................................................................................................................................................... 19


 

ВВЕДЕНИЕ

Курс теории автоматического управления ставит своей целью ознакомить с общими принципами построения систем автоматического управления, с процессами в этих системах и методами их исследования. Принципы построения систем автоматического управления связаны с общими законами управления, значение которых выходит далеко за пределы  технических задач.

Теория автоматического управления сформировалась в самостоятельную науку, в первую очередь на основе изучения процессов управления техническими устройствами. Изучение принципов построения и исследования систем автоматического управления в курсе ОТУ проводится на основе рассмотрения управления различными техническими устройствами, и первое понятие, которое конкретизирует довольно широкое поле деятельности этого курса является автоматическое регулирование. Под автоматическим регулированием понимают поддержание на определенном уровне или изменение по закону некоторых переменных характеристик (регулируемых величин) в машинах и агрегатах без участия человека с помощью различного рода технических средств.

Рассматриваемые принципы управления имеют более широкий общий смысл и могут быть применены при изучении процессов управления в совершенно иных системах, например, в биологических, экономических, социальных и др.


Исходные данные


Задана система програмного регулирования скорости вращения рабочего органа шпинделя.

Рис. 1

                                 

На рис.1 использованы следующие обозначения:

ü  ОВ ЭМУ обмотка возбуждения ЭМУ.

ü  ЭМУ -  электромагнитный усилитель.

ü  Д - двигатель постоянного тока

ü  ОВД – обмотка возбуждения двигателя.

ü  Р – редуктор.

ü  ТГ – тахогенератор.

ü  У – электронный усилитель.

ü  E - ошибка рассогласования.

ü  V - скорость изменения напряжения.

ü  М – момент инерции шпинделя.

           

Система регулирования работает следующим образом: с электронного усилителя У усиленный сигнал рассогласования Е поступает на обмотку возбуждения ЭМУ (ОВ ЭМУ), ток, проходящий через ОВ ЭМУ меняется, изменяя тем самым величину магнитного потока, действующего на ротор электромагнитного усилителя (ЭМУ) - увеличивая или уменьшая скорость его вращения, и  в зависимости от этих изменений меняется скорость и направление вращения двигателя (Д).  Двигатель (Д), редуктор (Р), тахогенератор (ТГ) и шпиндель находятся в жесткой механической связи, поэтому изменения в скорости и в направлении вращения двигателя вызывают соответствующие изменения в скорости и в направлении вращения рабочего органа шпинделя, а также в работе тахогенератора (ТГ), который передвигает ползунок реостата в сторону изменения ошибки несогласования E.


Требуется:

1.    Составить структурную схему и вывести уравнения, которыми описываются отдельные элементы и вся система регулирования в целом. Определить коэффициент усиления усилителя из заданной точности.

2.    Определить устойчивость и качество переходных процессов в системе с помощью частотных методов.

3.    Скорректировать систему.

4.    Построить переходный процесс в системе и оценить его качество.

Дано:

Тэ1

Тэ2

Тд

Кэму

Кд

Кред

Ктг

E,%

V

0,1 0, 7 2,5 4 3 2 0,1 0,4 0,5



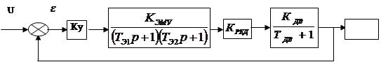
1.Структурная схема системы.

На основании принципиальной схемы (рис. 1) составим структурную схему (рис. 2) и рассмотрим все ее элементы для получения передаточной функции всей системы.


Рис. 2

1.1   Усилитель.

                  
                                                                           (1)

  

      где Ky – коэффицент усиления электронного усилителя.

1.2   ЭМУ

                                          (2)

                                                               

 где Кэму- коэффицент передачи ЭМУ;

       Тэ1,Тэ2 - постоянная времени ЭМУ.

1.3   Двигатель

                       

                                                                          (3)

где Кдв- коэффицент передачи двигателя постоянного тока.

                                         Тдв - постоянная времени двигателя

1.4   Редуктор

                                                                                   (4)

          

            где Кред - коэффициент передачи редуктора

1.5   Тахогенератор

                         

                         

                                                                                                     (5)

          где Ктг - коэффициент передачи тахогенератора

Пользуясь (рис. 2) и формулами (1-5) составим передаточную функцию разомкнутой системы

                                                                                (6)

                Подставив исходные значения, получим

                                                                                (7)



2. Определение коэффициента усиления электронного усилителя по заданной точности.

 

Установившаяся ошибка замкнутой САУ складывается из двух составляющих:

                                                                                                     (8)

 где -ошибка от задающего воздействия,

-ошибка от возмущения f(t).

Передаточная функция замкнутой системы по ошибке будет иметь вид:

пусть f(t)0, тогда

                                                                                             (9)

Для любого воздействия ошибку можно найти с помощью коэффициентов ошибок, когда

                                                                                (10)

Из 9 и 10 получаем:

                                                                                                       (11)

 

С1,С2,С3,…-коэффициенты ошибок, которые можно найти по следующим выражениям:

                                                                            

Так как мы имеем статическую систему, то

                                                                          (12)

По условию  , тогда

Подставим полученное значение в (7):

Тогда передаточная функция замкнутой системы будет:

                                         (13)


3. Определение устойчивости системы методом Михайлова А.Б.

Характеристическое уравнение системы имеет вид:

где

                                                      (14)

Заменив в (14) комплексную переменную р мнимой переменной jw, получим функцию мнимого переменного jw, в котором w может принимать любое значение от +   до - :        

                                             (15)

Так как , то четные степени jw вещественны, а нечетные линейны

Разделив вещественную часть от мнимой получим:

,

где

 -вещественная часть функции А(jw)

 -мнимая часть функции А(jw)

Критерий Михайлова можно сформулировать в виде условия перемежаемости корней, т.е. если W0,W2,W4 - упорядоченные корни мнимой составляющей А(jw), а W1 и W2 - упорядоченные корни вещественной составляющей А(jw), то для устойчивости системы необходимо и достаточно выполнения неравенства:

                                                                                          (16)

Корни

W0=-4.342;

W2=0;

W4=4.342.

Корни

W1=-10.989;

W3=10.989.

Подставив  в (16):

Видим, что неравенство не верно, значит условные устойчивости не выполняется. Отсюда следует, что система неустойчива и нуждается в коррекции.


4. Коррекция системы.

Выбираем последовательную коррекцию. Коррекция системы состоит из нескольких этапов:

1.    Построение ЛАЧХ корректирующего устройства.

2.    Техническая реализация корректирующего устройства

3.    Проверка правильности выбора корректирующих звеньев.


4.1.   Построение ЛАЧХ корректирующего устройства

Чтобы построить ЛАЧХ корректирующего устройства необходимо:

1.    Построить ЛАЧХ разомкнутой нескоректированной системы Lнс (w).

2.    Построить ЛАЧХ желаемой системы Lж(w).

3.    Путем графического вычитания Lж-Lнс получить ЛАЧХ корректирующего устройства Lк(w).

 


   4.1.1.    ЛАЧХ разомкнутой нескоректированной системы Lнс (w).

               ЛАЧХ разомкнутой нескоректированной системы будет иметь вид:

             Lнс(w)=20 lg //

         Для построения Lнс найдем опорные частоты:

            

            

            

             20lgK = 20lg249=48 дб

        

        


         4.1.2.   ЛАЧХ желаемой системы Lж(w).

         ЛАЧХ желаемой системы построим по методу Солодовникова.

         Пусть величина перерегулирования переходного процесса равна G=25%, а время        регулирования системы должно быть меньше постоянной времени двигателя, чтобы он успевал обрабатывать управляющее воздействие, т.е.

           

         По номограммам Солодовникова (рис.3) определим tp, запас по фазе  и запас по амплитуде Lзап :

               

               

         

         

       Частота среза ЛАЧХ находится из условия:

      

      ЛАЧХ желаемой системы разбивается на три участка:

ü Низкочастотный участок строиться с наклоном –20Vдб\дек, где V – порядок астатизма системы. Т.к. в данной системе V=0, то наклон будет – 0 дб\дек.

ü Среднечастотный участок строится с наклоном – 20дб\дек до пересечения с линиями  с некоторым запасом.

ü Высокочастотный участок строится из расчета наименьшей разницы с Lнс (w)

     Построение ЛАЧХ желаемой системы начинают со среднечастотного участка.

     Построение ЛАЧХ показано на рис 4.

     По ЛАЧХ  Lж(w) можно найти передаточную функцию желаемой системы:

    

     

    

    

   4.1.3.   ЛАЧХ корректирующего устройства Lк(w).

        Из формул  передаточная функция корректирующего устройства будет иметь вид:

             

             где

        Для проверки запасов по фазе и амплитуде необходимо построить ЛФЧХ желаемой системы (рис.4).

       

1.1 -24.8
2.5 -47.3
10 -85.1
130 -181.1

       

        При частоте, на которой  пересекает запас по амплитуде системы                                 равен Lзап =16.5 дб, т.е. запас по амплитуде соблюдается по  сравнению с заданным (16 дб).

        Запас по фазе находится как расстояние между точками  и  на частоте среза Wс=20. Получено значение , т.е. запас по фазе также соблюдается по сравнению с заданным ( ).


     4.2.   Техническая реализация корректирующего устройства.

  

 Следующим этапом коррекции системы является реализация корректирующего     устройства, которое представляет собой  набор четырех-полюсников.

    Представим передаточную функцию корректирующего устройства в виде набора звеньев:


I-Звено:

 


Выберем RC-цепочку, представленную на рис. 5

своей принципиальной схемой и логарифмической

амплитудно-частотной характеристикой.


                                                                                                    Рис.5


II-Звено:

 


Выберем RC-цепочку, представленную на рис. 6

своей принципиальной схемой и логарифмической

амплитудно-частотной характеристикой.


                                                                                                    Рис. 6

R5

 
III-Звено:

Выберем RC-цепочку, представленную на рис. 7

своей принципиальной схемой и логарифмической

амплитудно-частотной характеристикой.


                                                                                                          

                                                                                                            Рис. 7


Т.о. коэффициент усиления корректирующего звена будет:

необходимо ввести операционный усилитель, чтобы получить Кк=0,014.

IV-Операционный усилитель:

Принципиальная схема операционного усилителя

и его краткая форма представления показана

на рис. 8.  Определим его параметры:



                                                                                                 Рис. 8

После чего схема корректирующего устройства будет иметь вид:



                                                       Рис. 9


4.3. Проверка правильности выбора корректирующих звеньев.

Проверка правильности выбора корректирующих звеньев состоит из трёх этапов:

ü  Построить ЛАЧХи всех корректирующих звеньев.

ü  Построить результирующую ЛАЧХ Lрез(w).

ü  Сравнить Lрез с ЛАЧХ корректирующего устройства Lк(w).

 

      Из рис.10 можно сделать вывод, что корректирующие звенья выбраны правильно.


5. Построение переходного процесса и определение прямых показателей     качества.

Перехолным процессом называется реакция системы на подачу ко входу единичного скачка 1(t):


Построим переходный процесс с помощью компьютерной программы и определим прямые показатели качества (рис. 11).

 К прямым показателям качества относятся:

1.    Время регулирования:

 

              при 

     Определяется точкой последнего попадания графика h(t) в пятипроцентную зону         G=0,05. Задано tp=0,4, а получено по графику (рис. 11) tp=0,35.

2.    Относительное перерегулирование

                

Определяется величиной выброса hmax относительно Lуст.

Задано G=25%, а получено G=0%.

3.    Максимальное перегулирование : Lmax=1 

4.    Время наступления Lmax :               tmax=0.2


ЗАКЛЮЧЕНИЕ

Мной  рассмотрена система программного регулирования рабочим органом шпинделя.

Я построил и описал систему, отвечающую всем  качественным требованиям  варианта № 7.Были получены определенные значения и показатели, характеризующие данную систему.

В частности:

q  для заданной точности был найден коэффициент усиления всей системы.

q  по структурной схеме была получена передаточная функция разомкнутой     системы , а по последней - передаточная функция замкнутой системы Ф(Р).

q  система была проверена на устойчивость частотным методом Михайлова, и в последствии для неё было выбрано последовательное корректирующее устройство

q  для системы был построен переходной процесс, по которому я определил прямые показатели качества системы.

            Работа содержит достаточно информативные графики и рисунки, которые совместно с текстовым пояснением и формулами помогают легко разобраться в сути данного исследования.

     


СПИСОК ЛИТЕРАТУРЫ
  1. Методические указания по курсовой работе.
  2. Воронов А.А. “Основа и теория автоматического управления” Часть 1, Москва 1965г.
  3. Теория автоматического управления под редакцией А.В. Петушила, Часть 1, Москва 1968г.




© 2009 РЕФЕРАТЫ
рефераты бесплатно