Реферат: Исследование систем управления
Реферат: Исследование систем управления
Исследование
систем управления.
Лекция
1 11.02.97
Цели и задачи
курса ИСУ. Предмет
и объект ИСУ.
План.
ИСУ : Понятия,
назначение,
приложение.
Предмет и
объект ИСУ.
Этапы ИСУ.
Вопрос 1 : ИСУ
: Понятия, назначение,
приложение.
ИСУ - процесс
определения
орг. структуры
(состава, организации,
поведения,
состояния
систем), параметров
системы, закономерностей
функционирования
и развития
изучаемой
системы с целью
ее совершенствования.
ИСУ базируется
на ряде смежных
дисциплин :
кибернетика
- изучение
фундаментальных
законов функционирования
систем управления;
теория систем
- использование
системного
анализа;
автоматизированные
системы управления
- исследование
вопросов построения
информационных
систем управления,
создание баз
данных и взаимодествие
человека с
машиной;
теория информации
- исследование
потоков информации;
исследование
операций - ТМО;
системный
анализ - представление
любого процесса
в виде системы,
построение
модели в виде
дерева целей.
Причины
изучения ИСУ
:
1) Кризис
управляемости
(с сер. 20-го века)
- усложнение
макро- и микросреды
бизнеса; закон
падения эффективности
бизнеса; необходимость
оценки деятельности
менеджера и
целью диагностики
его эффективности.
Методология
оценки деятельности
менеджера США
:

Результат
работы менеджера
:

xi
-
вид фактора
: Nт
- выручка
S
- Sm,
L,
Sоб
... - затраты
Ц - рыночные
цены
Rmi
- подразделения
R(m)
= Др
- Ое
R(m)
- всей
фирмы
Др
- доход от реализации
Ое
- суммарное
отклонение
всех факторов
Если R(m)
< R(m)е
- отрицательная
работа
Если R(m)
=
R(m)е
- положительная
работа
Если R(m)
> R(m)е
- на высоком
уровне работа
Закон
снижения
эффективности.

От того, на
каком отрезке
кривой находится
фирма зависит
решение, принимаемое
менеджером
фирмы.

X
- отрезок времени,
на котором
находится
фирма. Кап вложения
не соответствуют
возможностям
фирмы.
Y
- любые
вложения обрекают
фирму на гибель,
поскольку не
будут оправдывать
себя в соответствии
с законом убывающей
эффективности.
2) Опережающие
темпы роста
окружающей
среды.

3)
Снижение отдачи
инвестиций
в области развития
введения
управленческих
нововведений.
4)
Неоправданно
большие инвестиции
в области системы
управления.
Вопрос 2
: Предмет
и объект ИСУ.
СУ организационно-экономическими
системами
разной сложности,
на разных уровнях
и с разными
способами
функционирования
- объект ИСУ.
Предмет ИСУ
- объективные
закономерности,
присущие системам
управления
с целью с целью
совершенствования
их функционирования
и развития.
Общая интегральная
задача ИСУ -
изучение
закономерностей
функционирования
и развития СУ
=>
функциональные
задачи :
сбор и обработка
информации
о системе управления
оценка и
анализ состояния,
поведения и
параметров
СУ
характеристика
орг. структуры
СУ
анализ
функционирования
и развития
подсистем СУ
характеристика
экономических
и социальных
последствий
развития СУ
Вопрос 3
: Этапы
ИСУ.
Этапы ИСУ
:

Лекция
2 18.02.97
Система
управления
как объект
исследования.
План.
Определение
понятия системы.
Основные
характеристики
системы и принципы
функционирования.
Виды систем
управления.
Экономика
как система.
Вопрос 1
: Определение
понятия системы.
Основной
спецификой
ИСУ является
то, что эта система
рассматривает
управление
нетрадиционно.
Менеджмент
в ИСУ рассматривается
как система
(сложная).
Системный
подход - рассмотрение
любого объекта
как системы.
Системность
- всеобщее свойство
материи.
Повышение
системности
- основная цель
управления.
Направления
повышения
системности
:
системность
практической
деятельности
системность
познавательной
деятельности
системность
среды обитания
Система -
совокупность
элементов,
взаимосвязанных
друг с другом,
образующих
целостность,
единство.
Признаки
системы :
состоит из
многих элементов
наличие
связей между
элементами
представляет
собой единое
целое, т.е. объединение
через единую
цель
Описание
систем проходит
на различных
уровнях абстрагирования
:
символический
или лингвистический
теоретико-множественный
(система описывается
формальными
методами как
множество,
совокупность
множеств)

Преобразование
множества
входов и выходов
- отношение =>
X
R Y или (бред)
Система есть
множество, на
котором реализуется
отношение R
: S
М
X R Y
Система -
декартово
произведение
множеств.
абстрактно-логический
топологический
(системы в виде
графиков, карт
и т.д.)
теоретико-информационный
(сетевые, иерархические
и реляционные
базы данных)
эвристический
(уровень идей,
мыслей, гипотез,
предположений,
прогнозов)
Вопрос 2
: Основные
характеристики
системы и принципы
функционирования.
Системы
описываются
в виде реально
существующей
системы с помощью
системных
критериев и
категорий.

Параметры
систем :
Элемент
системы - часть
системы, имеющая
определенное
функциональное
назначение
:
атомистические
(?) (неделимые)
элементы
подсистемы
организация
- внутренняя
упорядоченность,
согласованность
взаимодействия
элементов
системы, проявляющаяся
в ограничении
разнообразия
состояний
элементов в
рамках системы
структура
- совокупность
внутренних
устойчивых
связей между
элементами
системы, определяющая
ее основные
свойства
состояние
системы - это
вектор значений
параметров,
характеризующих
систему в данный
момент времени
t
- статическая
характеристика
C(t1)
= {P(t1),
L(t1),
S(t1),
N(t1)
...}
P(t1)
- мощность
производства
L(t1)
- количество
рабочих
S(t1)
- себестоимость
N(t1)
- объем
выпуска
Система может
иметь начальное,
промежуточное
и конечное
состояние.
поведение
системы - совокупность
действий, изменений
изучаемой
системы и ее
реакций на
внешние воздействия
: изменение,
развитие, рост.
П = f(t,
Q)
Q
- совокупность
параметров
Динамическая
характеристика
системы. (?)
В теории
организации,
в теории деловых
игр, технологии
труда, в теории
принятия решений
используется
модель экономического
поведения.
Q
- существенные
параметры -
параметры,
отобранные
для анализа
моделируемого
объекта как
необходимые,
так и достаточные
для его характеристики
с учетом целей
моделирования.
Они влияют на
устойчивость
системы : если
значение параметра
выходят за
рамки допустимого,
то система
рушится.
связь - это
форма взаимных
ограничений
на поведение
элементов друг
на друга; при
отсутствии
ограничений,
связь тоже
отсутствует.
(?)
Принципы
функционирования
системы :
детерминизм
- закономерная
связь, взаимообусловленность
всех явлений
целостность
(эмерджентность)
- свойства системы
не сводятся
к сумме свойств
составляющих
ее элементов
гомеостаз
- свойство системы
сохранять в
процессе
взаимодействия
со средой значение
существенных
переменных
в некоторых
пределах
закон или
принцип разнообразия
- для решения
задач управления
сложными системами
необходимо
учесть большое
разнообразие
всевозможных
факторов;
разнообразие
состояний
системы можно
определить
как энтропию
: H
= log2(m),
где m
- множество
состояний
системы.
Закон ограничения
разнообразия
(закон Эшби) -
из всех возможных
состояний
системы необходимо
выбрать то,
которое наиболее
полно отвечает
целям функционирования
системы.
Вопрос 3
: Виды систем
управления.
Виды систем
:
по природе
составляющих
элементов :
материальные
(неорганические,
органические
и смешанные)
абстрактные
(знания, теории,
гипотезы)
по степени
предсказуемости
:
статические
динамические
(экологическая
система) :
детерминированные
(состояние
которых можно
точно предсказать)
вероятностные
по сложности
:
простые
сложные
большие :
наличие
подсистем,
имеющих собственное
целевое назначение,
подчиненное
общему целевому
назначению
системы (мировое
хозяйство,
ЕС)
наличие
большого числа
разнообразных
связей между
подсистемами
наличие в
системе элементов
самоорганизации
участие в
функциональной
системе людей,
машин и природной
среды
трудность
в описании
системы
Вопрос 4
: Экономика
как система.


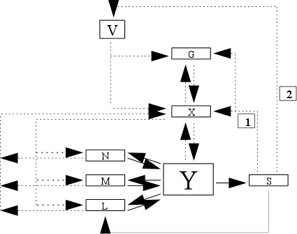
Y
- производство
L
- трудовые
ресурсы
M
- материальные
ресурсы
N
- природные
ресурсы
S
- чистое
непроизводственное
потребление
(з/п)
Связь SX
(1) - идет
информация
о том на сколько
данный экономический
субъект удовлетворяет
заданной
потребительской
потребности.
Блок X
- регулятор и
задающий блок.
Блок (V)
- логический
блок "ИЛИ".
Связь SX
(2) - задает
параметры
вещественного
выхода YS.
Блок C
- регулятор
и задающий блок
вышестоящего
уровня.
Элементы
системного
анализа :
вход системы
: природно-материальные
объекты, технологии
выход системы
: совокупность
материальных
благ и услуг,
служащих для
удовлетворения
потребностей
общества и его
членов
процесс
производства
: определяется
многообразием
потребностей
общества
цель : формируется
субъектом
экономической
системы и диктуется
внешними и
внутренними
факторами,
упорядочивает
множество
состояний
экономической
системы
Признаки
экономических
больших систем
:
наличие
подсистем,
имеющих собственное
целевое назначение,
подчиненное
целевому назначению
системы
наличие
большого числа
разнообразных
связей между
подсистемами
наличие в
системе элементов
самоорганизации
участие в
функциональной
системе людей,
машин и природной
среды (открытость
системы)
трудность
в описании
системы
Лекция
3 25.02.97
Системы
управления
(СУ), их виды и
принципы
функционирования.
План.
Роль управления
в системах.
Виды систем
управления.
Принципы
существования
и работы СУ.
Вопрос 1
: Роль
управления
в системах.
Управление
- выработка и
осуществление
целенаправленных
управляющих
воздействий
на объект, в
данном случае,
систему, что
включает сбор,
обработку и
передачу необходимой
информации,
принятие и
реализацию
соответствующих
решений.
Управление
- функции системы,
ориентированные
на сохранение
ее основного
качества, либо
на сохранение
некоторой
программы,
которая должна
обеспечить
устойчивость
функционирования
(гомеостаз) ,
достижение
определенной
цели.
Управление
есть то, что
способствует
существованию
и работе системы.
Управляющие
параметры -
параметры
активного
воздействия,
с помощью которых
создается
возможность
менять ход и
направление
экономических
процессов. Есть
3 группы управляющих
параметров
:
параметры
стабилизаторы,
которые встроены
в обратную
связь СУ и являются
антикризисными
стимуляторы,
которые сохраняют
и повышают
темпы развития
системы
регуляторы,
которые поддерживают
сбалансированность
экономических
показателей
Вопрос 2
: Виды систем
управления.
СУ - совокупность
взаимосвязанных,
функциональных
элементов,
вырабатывающих
управляющие
параметры.
2 основные
подсистемы
:
субъект
управления
(СУ)
объект управления
(ОУ)
Виды СУ :
СУ программные
или жесткие
- единственная
прямая связь
между СУ и ОУ,
по которой
поступают
управляющие
воздействия,
обязательные
к исполнению.

Административно-командная
СУ и методы
Регулируемая
СУ - использует
информацию
о реакции объекта
на управление.

Административные
и экономические
методы; включает
интересы людей.
Саморегулирующие
СУ.

Регулирование
без вмешательства
внешних сил.
Адаптивные
СУ - открытые
системы; ОУ
подвержен
возмущающему
воздействию;
СУ - вышестоящий.
Все вместе
макросреда.

Вопрос 3
: Принципы
существования
и работы СУ.
Принципы
отражают объективно
присущие СУ
закономерности
развития и
функционирования.
Принципы
действия СУ
:
принцип
обратной связи
- обратное
воздействие
результатов
управления
системы на
процесс этого
управления,
т.е. использование
информации,
поступающей
от объекта
управления.
Обратная
связь может
быть главной
внешней и
внутренней
местной.

Отрицательная
и положительная
обратная связь.
Последняя
усиливает
действие выходного
сигнала, т.е.
имеет с ним
одинаковый
знак; первая
- ослабляет
входной сигнал.
Положительная
связь ухудшает
положение
системы. Отрицательная
связь способствует
восстановлению
равновесия
при его нарушении
возмущающими
воздействиями.
Если результат
на выходе системы
меньше, чем
требуется, то
блок регулирования
подает сигнал,
увеличивающий
интенсивность
процесса; если
результат
больше эталона,
то управляющий
процесс затормозится.
принцип
внешнего дополнения
- при управлении
большой системой
необходимы
"неформальные"
корректировки
решений; полученные
из моделей (в
прямую связь
вписывается
внешнее дополнение).
Оперативное
управление
производством.

закон необходимого
разнообразия
- разнообразие
управляющей
системы должно
быть не меньше
разнообразия
объекта управления
- определяет
требования
к избирательности
управляющей
системы, обусловленные
тем уменьшением
разнообразия
объекта управления,
которое необходимо
для эффективного
управления,
т.е. сведение
множества
состояний
системы к
подмножеству,
включающему
лишь состояния,
оптимальные
по отношению
к цели управления.
принцип
черного ящика
- представление
системы в виде
некоего объекта
("черного
ящика"),
представляющего
собой, при настоящем
уровне знаний,
объект с непознанными
внутренними
структурой
и организацией.
Однако можно
изучать этот
объект по изменениям
между входами
и выходами
системы.
Виды информационных
моделей :
1. комплекса
информационных
задач
|
задачи
задачи
|
1
|
2
|
3
|
|
1
|
|
+
|
|
|
2
|
|
|
|
|
3
|
+
|
|
|
|
е
|
|
|
|
Матрица
взаимосвязи
задач
2. модели отдельных
функциональных
подсистем
(взаимосвязь
подсистем)
Матрично-информационная
модель позволяет
:
определить
мощность и
число различных
потоков информации
степень
взаимосвязи
показателей
и документов
вводные и
выходные показатели
Лекция
3 25.02.97
Информационная
модель экономической
системы
и ее назначение
в процессе ИСУ
4 задачи построения
информационной
модели :
определение
структуры
информационных
потоков и связей
системы
определение
первичной
(исходной)
информации
и ее источников
определение
взаимосвязей,
задач управления
определение
результатной
информации
и ее источников
Построение
информационной
модели - процесс
моделирования
информационного
обеспечения
систем управления.
Методы
моделирования
:
графо-аналитические
матричные
Построение
матричной
модели ИСУ.
I.
Определение
списка или
перечня решаемых
задач в данном
функциональном
звене.
II.
Определение
приоритетности
задач и их нумерации.
|
U
- задачи,
предшествующие
решению задач
V
|
V
|
| 1 |
2,3 |
| 2 |
3 |
| 3 |
4,8 |
| 4 |
5,8 |
| 5 |
6 |
| 6 |
7 |
| 7 |
8,9 |
| 8 |
10 |
III.
Построение
исходного графа
решения задач.

IV.
Построение
информационной,
квадратной,
верхней треугольной
матрицы.
|
V
U
|
1 |
2 |
3 |
4 |
5 |
6 |
7 |
8 |
9 |
10 |

|
|
1
|
|
+ |
+ |
|
|
|
|
|
|
|
2 |
|
2
|
|
|
+ |
|
|
|
|
|
|
|
1 |
|
3
|
|
|
|
+ |
|
|
|
+ |
|
|
2 |
|
4
|
|
|
|
|
+ |
|
|
+ |
|
|
2 |
|
5
|
|
|
|
|
|
+ |
|
|
|
|
1 |
|
6
|
|
|
|
|
|
|
+ |
|
|
|
1 |
|
7
|
|
|
|
|
|
|
|
+ |
+ |
|
2 |
|
8
|
|
|
|
|
|
|
|
|
|
+ |
1 |
|
9
|
|
|
|
|
|
|
|
|
|
|
0 |
|
10
|
|
|
|
|
|
|
|
|
|
|
0 |
|

|
0 |
1 |
2 |
1 |
1 |
1 |
1 |
3 |
1 |
1 |
1й
слой |
|
|
0 |
1 |
1 |
1 |
1 |
1 |
3 |
1 |
1 |
2й
слой |
|
|
|
0 |
1 |
1 |
1 |
1 |
3 |
1 |
1 |
3й
слой |
|
|
|
|
0 |
1 |
1 |
1 |
2 |
1 |
1 |
4й
слой |
|
|
|
|
|
0 |
1 |
1 |
1 |
1 |
1 |
5й
слой |
|
|
|
|
|
|
0 |
1 |
1 |
1 |
1 |
6й
слой |
|
|
|
|
|
|
|
0 |
1 |
1 |
1 |
7й
слой |
|
|
|
|
|
|
|
|
0 |
0 |
1 |
8й
слой |
|
|
|
|
|
|
|
|
|
|
0 |
9й
слой |
V.
Построение
графа задач
по методу (алгоритму)
Демукрона (?).
| 1й слой |
2йслой |
3йслой |
4й слой |
5й слой |
6й слой |
7й слой |
8й слой |
9й слой |

Матрица
A=[auv]
строится
так :
|
auv
| = 1, если
между вершинами
есть связь
|
auv
| = 0, если
связь отсутствует
Условие
построения
- отсутствие
замкнутых
контуров (вершины
не должны иметь
"предков"
в последующих
слоях).
Если по u-ой
строке сумма
еauv
по V
= [1;
n] равняется
нулю, то u-ый
показатель
принадлежит
к исходным
данным.
Если для u
= v еauv
= 0, то u-я
вершина к
рассматриваемому
графу не принадлежит,
т.е. имеется
ошибка при
построении
графа.
Разбивание
на слои методом
Демукрона :
из суммы по
столбцам с
суммой
вычитают строки,
соответствующие
столбцам, в
которых эта
сумма равна
0.
из оставшихся
сумм по столбцам
вычитаются
строки, по
соответствующим
столбцам которых,
получился 0
после первого
вычитания.
номер слоя
определяет
порядок этапа
обработки
информации.
Графо-аналитическая
модель позволяет
:
определить
последовательность
проектирования
и внедрения
задач СУ и
функциональных
подсистем
очередность
решения задач
с учетом очередности
использования
промежуточной
информации
определить
необходимую
первичную
информацию
на входе системы
и наиболее
рациональный
состав реквизитов
информационных
массивов
перечень
и содержание
промежуточных
массивов, исходя
из комплексного
решения задач
СУ
порядок
создания
информационных
массивов при
поэтапном
внедрении
новых информационных
технологий
(автоматизированная
система управления
предприятием)
установить
число возможных
путей, связывающих
два любые показателя
или задачи
установить
число путей
фиксированной
длины
установить
число этапов,
в течение которых
результаты
решения задач
необходимо
сохранить в
базе данных
или в памяти
ЭВМ
использовать
при исследовании
информационной
модели предприятия
для выявления
ненужных,
дублирующих
потоков информации
улучшить
содержание
информации
в документах
дают возможность
путем сопоставления
исследовать
качество
функционируемой
СУ и проектируемой
СУ.
Лекция
6 11.03.97
Роль информации
в уменьшении
неопределенности
при принятии
управленческих
решений
Неопределенность
системы управления
- ситуация, когда
полностью или
частично отсутствует
информация
о возможных
состояниях
объекта (системы)
управления
и внешней среды.
Неопределенность
связана с возможной
непредсказуемостью
тех или иных
явлений, вероятностные
характеристики
которых неизвестны.
Полная
неопределенность
:

(энтропия)
Pn
- вероятность
k-го
состояния
системы.
Полная энтропия
- функция от
начальной
энтропии системы,
характеризующейся
начальным
количеством
информации
о среде ее
функционирования
и о системе, и
от количества
информации,
которое можно
получить в ходе
функционирования
системы.
Т - время
выработки
решения.
Эп = Эн +Эоп
+ Эост Эп ®
I=0
Эоп
- текущая энтропия
Эост - остаточная
энтропия
Эп = Эн + Эоп
+ Эост
Ї
Ї
Ї
Ї
Iп
= Iн(пр)
+
Iоп
+
Iост

Iпр
- начальное,
минимально
необходимое
количество
информации
(пороговое),
которое необходимо
для принятия
управленческого
решения.
Iпред
- предельное
количество
информации,
полученное
за время Т и
при увеличении
которого
неопределенность
принятия решения
не будет уменьшаться,
а увеличиваться.
Iп
- первичная и
вторичная
информация,
накопленная
для начала
принятия решения.
Причины
неполноты
первичной
информации
:
некомпетентность
менеджера
неполнота
информации
о внешней среде
несовершенство
первичных баз
данных
недостаточные
средства обработки
информации
субъективные
факторы
Iоп
- определяет
уровень внутренней
неопределенности
оперативной
информации,
информации
о текущих
хозяйственных
операциях в
функционирующей
системе (бухгалтерская,
статистическая,
оперативно-календарного
учета).
Неполнота
Iоп
порождает
неопределенность,
которая влияет
на Iп.
Причины неопределенности
Iоп
:
первые
5 + внутренняя
организация
работ, организация
коммуникации
между системами.
Iост
- может быть
равна Эк, но не
всегда, - информация,
которая компенсирует
недостаток
Iн
и Iоп
такими методами,
как экспертные,
интуитивные,
методы, методы
привлечения
к данной задаче
внешних консультантов.
Исследование
управленческой
информации
методом
ее формализации.
План.
Требования
и цели формализации
информации.
Методы формализации
информации.
Анализ структуры
информации.
Измерение
информации,
количественный
и качественный
анализ информации.
Методы уменьшения
разнообразия
систем управления
путем изменения
количества
информации.
Вопрос 1
: Требования
и цели формализации
информации.
Процесс
формализации
информации
- описание
содержательной
(семантической)
информации
формальными
средствами,
в частности,
описание предметной
области (системы)
и ее свойств
путем набора
показателей,
параметров,
т.е. перевод
информации
из ее логического
представления
в физическое.

Процесс
формализации
необходим для
:
анализа
структуры и
объема информации,
циркулирующей
в системе
выявление
излишков информации
избавление
от дублирования
сжатие информации
снижение
трудоемкости
Требования,
предъявляемые
к формализации
:
минимальная
избыточность
использование
для максимального
числа приложений
или задач
независимость
от программы
обработки
достоверность
данных
секретность
информации
защита от
искажения и
уничтожения
минимальная
стоимость
обработки
способность
к развитию и
адаптации
Вопрос 2
: Методы
формализации
информации.
I.
Классификация
информации
- логическая
операция, которая
заключается
в распределении
элементов
рассматриваемого
множества по
подмножествам,
классам на
основании
общего признака
или группы
признаков.
Метода
классификации
:
иерархическая
классификация
- строится
дедуктивно,
когда подразделения
высшего класса
содержат
непересекающиеся
между собой
классы низшего
порядка.
Максимальное
количество
элементов,
которые считаются
по низшим ступеням
- емкость иерархической
классификации.
Показатель
заполненности
классификатора
:

R
- фактическое
количество
классифицированных
группировок
E
- емкость иерархической
системы классификации
L
= E -R - резерв
данного классификатора
фасетная
классификация
- в основе лежит
фасетный анализ
информации
или выявление
основных свойств
категорий
объектов.
Каждый термин
(?) фасета есть
фокус. Фасеты
могут быть
разбиты на
субфасеты.
| пол |
возраст |
профессия |
национальность |
специальность |
|
профессия
|
специальность |
возраст |
пол |
национальность |
|
|
|
|
|
|
|
|
|
|
Классификация
позволяет :
агрегировать
данные при
переходе от
элементов к
группам; упорядочить
множество
объектов; упростить
процесс анализа
и исследования.
II.
Кодирование
информации
- присвоение
символьных
обозначений
некоторым
объектам информации.
Лекция
7 18.03.97
Виды кодов
:
Порядковый
Серийный
Позиционный
(поразрядный)
Вопрос 3
: Анализ
структуры
информации.
Анализ структуры
информации
необходим
менеджеру для
создания оптимальной
базы данных
для принятия
решений.
Цель структуризации
- измерение
объема информации.
Единица экономической
информации
- информационная
совокупность
- группа данных,
связанных одной
общей формой
и характеризующих
одну сущность.

Сообщение
- состоящая из
одних реквизитов
информационная
совокупность.
| Сумма |
Цена |
Количество |
Наименование |
Сорт |
| 2.5
млн. руб. |
2.5
тыс. руб. |
1000 |
Сникерс |
|
|

|
|
|
|
|
| основание |
реквизиты |
|
Вопрос 4
: Измерение
информации,
количественный
и качественный
анализ информации.
Измерение
информации
осуществляется
:
по формам
информационных
совокупностей
по содержанию,
натуральному
объему - подсчитывается
число значений
по той или иной
информационной
совокупности,
число элементов
массива, число
позиций, число
двоичных разрядов
или число
отроко-граф
(?).
Все информационные
совокупности
делятся на
номенклатуры
- универсальные
множества,
включающие
все значения
данной информационной
совокупности.
Массивы -
подмножество
или группы
частных значений
полных номенклатур.
N
= mn
N
- число возможных
отображаемых
состояний или
объем информации
в символах
m
- основание
системы счисления
n
- число разрядов
сообщений
Количественный
и качественный
анализ информации
предусматривает
ее анализ по
стабильности,
по сложности,
по массовости,
по пропускной
способности
информационной
системы.
По стабильности
:
постоянная
- коэффициент
стабильности
kст>=0.95

nt
- число неизменных
за время t
позиций в
номенклатуре
nн
- число позиций
в номенклатуре
переменная
5 групп постоянной
информации
:
нормативно-расценочная
информация
информация,
дающая призначную
оценку объекта
информация
о структурном
составе объекта
или явления
информация
о последовательности
выполнения
определенных
процессов
заранее
вычисленные
результаты
заданных
зависимостей
По сложности
: коэффициент
сложности

nin
- число операторов
или команд
рабочей программы
nформ
- число форм
производных
показателей
Коэффициент
трансформации
:

nисх
- число
исходных для
расчета данных
nрез
- число результатных
показателей
Коэффициент
массовости
:

nобщ
- общее число
показателей
по данному
расчету
najhv
- общее
число форм
показателей
в этом расчете
Чем выше kмас
, тем выгоднее
компьютеризация.
Пропускная
способность
информации
:

Тпер
- продолжительность
периода обработки
информации
(день, неделя,
декада, месяц,
год).
Вопрос 5
: Методы
уменьшения
разнообразия
систем управления
путем изменения
количества
информации.
Организационные
меры по уменьшению
информации
:
структурные
планирование
организационные
Структурные
:
разукрупнение
фирм : недостаток
- потеря синергизма
фирмы
специализация
: недостаток
- потеря синергизма
рынка
передача
полномочий
вниз : недостаток
- отклонение
от ответственности
всеобщая
вовлеченность
в процесс принятия
решений
Планирование
:
краткосрочное
планирование
- потеря дальновидности
и преемственности
долгосрочное
планирование
- потеря текущей
информации
детальное
планирование
Организационные
меры :
управление
по исключительным
мерам
жесткое
администрирование
ревизии
увольнения
Организационные
меры увеличения
разнообразия
:
структурные
кадровые
информационные
Структурные
:
объединение
рабочих групп
для обмена
знаниями :
увеличение
отчетности
и ухудшение
ее качества
работа через
помощников
расширение
ассортимента
- перенапряжение
Кадровые
:
найм управляющих
наем экспертов-консультантов
- растет тенденциозность
и безответственность
Информационные
:
конференции
улучшение
информационной
системы руководства
практика
открытых дверей
Лекция
8 27.03.97
Методы
исследования
систем управления.
План.
Классификация
методов в
соответствии
с решаемыми
задачами.
Учет закономерностей
функционирования
и развития
систем при
выборе методов
их анализа.
Краткая
характеристика
методов исследования
сложных систем.
Вопрос 1
: Классификация
методов в
соответствии
с решаемыми
задачами.
Для выбора
метода анализа
существует
несколько
процедур :
I.
Классификация
задач в СУ,
применительно
к которым выбирается
метод; группировка
задч происходит
:
в рамках ОУ
:
задачи синтеза
задачи анализа
в рамках
систем управления
Задачи синтеза
:
Определение
требований
к материально
вещественным
выходам системы
X
®
OI
®
I/выход
определение
структуры и
динамики объекта,
реализующего
эти требования
определение
элементов,
потоков, связывающих
эти структуры
определение
способов
функционирования
этих элементов
определение
способов контроля
и корректировки
выполнения
данным объектом
данных функций
Задачи анализа
:
выявление
элементов
объекта управления
и их свойств
анализ
характеристик
элементов и
связей между
ними
выявление
структуры и
динамики объекта
в целом как
адиативной
(?) синергической
системы (состоящей
из многих элементов,
но система не
есть сумма
этих элементов)
Задачи управления
:
выработка
управляющих
воздействий
организация
процесса управления
II.
Классификация
систем, для
которых используются
эти методы Ю
3 группы систем
:
хорошо
организованная
система
(детерминированная,
устойчивая,
жесткая)
плохо организованная
система
(социально-экономические,
организационно-экономические
системы) или
диффузные
(размытые) системы
(в силу своей
открытости)

самоорганизующиеся
системы (биологические)
Классификация
методов ИСУ
:
МАИС - методы
активизация
интуиции и
опыта специалистов
(творческой
деятельности)
МПФС - методы
формального
представления
систем
комплексные
методы - используют
элементы и
МАИС и МПФС
МАИС (для
плохо организованных
систем) :
мозговая
атака
морфологический
анализ
метод аналогий
сценарный
метод
структуризация
(дерево целей,
графические
методы, сетевые
модели)
метод Дельфи
метод решающих
матриц
экспертные
методы
МПФС :
аналитические
методы (методы
математического
исследования,
программирование,
метод игр,
исследование
операций и
др.)
статистические
методы (применяются
к хорошо организованным
системам, которые
имеют четкие
зависимости;
для плохо
организованных
систем)
теоретико-множественные
(теория множеств)
методы
логические
(алгебра Буля)
лингвистические
(языки)
семиотические
методы
графические
(имеют количественные
методы обработки
графов)
Комплексные
методы :
комбинаторика
(соединяет (1)
и (3) из МПФС)
иммитационное,
динамическое
моделирование
( (1) и (7) из МПФС, а
также некоторые
методы МАИС)
структурно-лингвистическое
моделирование
(включает
психологические
моменты)
графо-семиотическое
моделирование
(программа на
компьютере,
экспертные
методы)
Этапы выбора
методов исследования
сложных систем
:
классификация
систем и отнесение
исследуемой
к определенному
классу
выделение
задач в рамках
исследуемой
системы и отнесение
их к определенному
классу, выработка
управленческих
воздействий
выделение
всех связей
между элементами
и целями системы
в виде детерминированных
или аналитических
зависимостей
(если выделили
зависимости,
то можно использовать
аналитические
методы)
отображение
наиболее значимых
элементов и
их свойств
(более углубленная
обработка для
выбора целей),
т.е. релевантных
факторов (наиболее
подходящих
для решения
конкретных
задач, достижения
конкретных
целей)
выбор метода,
адекватного
нашему классу
задач, классу
систем (поставленной
задаче, выбранной
системе) и факторам,
детерминированным
зависимостям
Вопрос 2
: Учет
закономерностей
функционирования
и развития
систем при
выборе методов
их анализа.
Основные
закономерности,
которые необходимо
учитывать при
выборе методов
:
целенаправленность
(здесь используются
методы структуризации)
целостность
(эмерджентность)
- система неадиативна
- не сумма качеств
составляющих
ее элементов
интегративность
(любая система
развивается,
опираясь на
свою предысторию,
причинно-следственная
связь должна
быть четко
оформлена)
коммуникативность
(выражается
наличием связи
между элементами
системы : чем
плотнее и лучше
выражена связь,
тем лучше
функционирует
система)
иерархическая
упорядоченность,
характерная
для систем
управления.
Свойство двуликого
Януса : каждый
элемент системы
является целью
и средством
(если рассматривать
иерархическую
систему). Каждая
системы является
элементом
более широкой
системы.
эквифинальность
(предсказуемость
состояния
системы) - несмотря
на внешнее
влияние система
не не выйдет
из своего фазового
пространства.

потенциальная
эффективность
Флейшмана
(эффективность
системы зависит
от эффективности
ее отдельных
элементов;
нельзя построить
эффективную
систему из
неэффективных
элементов) -
нет хорошей
экономики без
квалифицированных
кадров, капитала
и т.д.
принцип
рекурсивности
(определение
необходимой
связи между
экономическими
явлениями и
объектами, при
которой ясно,
где причина,
а где следствие)
принцип
разнообразия
- это предмет
и содержание
современной
теории управления
(уменьшение
разнообразия,
неопределенности
- процесс управления)
Вопрос 1
: Краткая
характеристика
методов исследования
сложных систем.
I.
Мозговая
атака.
В основу ее
проведения
заложены следующие
предпосылки
:
возникновению
новаторских
идей препятствуют
контрольные
механизмы
сознания (при
обычном обсуждении)
поток идей
сковывается
подавлением
стереотипных
форм принятия
решений
оригинальные
идеи рождаются
в процессе
побуждения
к свободным
ассоциациям
Два этапа
:
Обсуждение
проблемы, запись
на магнитофон
(45 минут)
Оценка идей
путем прослушивания
записи (или
просмотра):
установление
корреляционных
связей между
мнениями; выбор
программы
действий
Основная
сложность -
обеспечение
благоприятной
обстановки.
II.
Сценарный
метод -
метод реализации
ситуационного
подхода у принятию
решений. Базируется
на итеративной
последовательности
построения
сценариев с
целью выбора
подходящей
альтернативы
управления.
Принципы,
лежащие в основе
метода :
принцип
последовательного
разрешения
неопределенности
(итеративный
процесс)
принцип
содержательного
и формального
описания объекта
управления
Содержательное
описание - фразами,
обычным языком
(не формализуется,
хотя есть какие-то
формальные
элементы - цель
формирования
системы; ее
принципы;
закономерности,
параметры,
факторы).
Формальное
описание -
определение
дается формальным
языком (это
может быть
математический
аппарат).
принцип
исследования
сценариев в
развитии.
Цель метода
- получение
научно обоснованного
прогноза для
принятия
управленческих
решений.
Сценарий
- это гипотетическая
картина последовательного
развития во
времени и
пространстве
событий, составляющих
эволюцию объектов
управления.
Для построения
сценариев
оперируют
следующими
понятиями :
внутренние
и внешние факторы
:
внутренние
факторы - внутренняя
структура
системы, взаимосвязь
между ее элементами,
закономерности
ее развития
внешние
факторы - взаимодействие
системы с системой
более широкого
класса (макро-
и микросредой)
сценарные
параметры -
это непредсказуемые
факторы, влияющие
на систему
ограничение
(каждая система
находится в
рамках, ограничивающих
ее состояние
- эквифинальность)
:
естественные
(обусловленные
природной
средой, в которой
находится
система, например,
климатические
условия и т.д.)
нормативные
(связанные с
правовой средой
и всевозможными
нормами поведения
- культура, обычаи,
традиции, мораль,
религия, нравственность)
индикатор
сценария - это
критичный к
предельным
состояниям
объекта управления
параметр. Это
параметр, который
ограничивает
состояние
системы по
каким-то определенным
направлениям
(какой порог
нельзя переходить,
чтобы не вызвать
разрушение
системы).
Процедура
сценарного
метода - это
определение
гарантированного
прогноза, т.е.
границ, за которые
развитие системы
выйти не может
по объективным
причинам. Т.е.
это построение
трубки прогноза.

Процедура
:
задаются
максимально
возможные
значения параметров
тех факторов,
которые положительно
влияют на развитие
системы, и
минимальные
значения тех
факторов, которые
препятствую
ее развитию,
и в этих условиях
выбираются
"идеальное"
из допустимых
управление
и соответствующее
ему состояние
системы. Эта
процедура
называется
"определение
потенциала
системы". Максимум
- это максимально
хорошее. Вероятность
нахождения
системы в граничащих
состояниях
(max
и min)
близка к нулю.
минимизируется
действие
положительных
факторов и
максимизируется
действие
отрицательных,
т.е. определяется
нижний предел
развития системы.
В этом коридоре
можно получить
наиболее вероятное
состояние
системы и направить
усилия на поддержание
этого состояния.
Основной
недостаток
- "трубка" очень
широка; задача
вероятностного
характера
(применяются
вероятностные
методики).
Лекция
9 01.04.97
Основные
черты МАИС :
ассоциативность
мышления
нестереотипность
мышления (должны
отмахнуться
от стереотипов)
нетривиальность
мышления
(оригинальность)
раскрепощенность
Эти методы
применяются
в организационно-экономических
системах (или
социально-экономических
системах), для
плохо организованных
систем (многослойных
систем, т.к. они
плохо управяемы).
интуиция
(если есть основа
- критическая
масса знаний
- то интуиция
разовьется)
МПФС - связь
с внешним миром
ограничена
в системах,
хорошо организованные
системы :
III.
Аналитические
методы
- проектируют
систему, свойства
которой описываются
в виде определенных
точек в пространстве
и во времени.

Свойства
система описывают
в виде детерминированных
величин (определенных).
Основу методов
составляют
понятия классической
математики.
Это функциональные
зависимости
:
прямые (спрос
и предложение)

параболы
(явления
социально-экономического
характера)

a,
b - коэффициенты,
рассчитанные
с помощью
статистической
информации.
Затраты -
параболические
кривые.
степенная
функция (для
описания интенсивно
развивающихся
процессов,
начальных
этапов жизненного
цикла изделия)

показательная
функция (замедляет
процесс)

Основа аналитических
методов в
экономических
системах -
регрессионное
уравнение.
I
- фонд
заработной
платы :
I
= 94 + 0.0022*X1
+ 195.4*X2
+ 0.03*X3
+ 0.5*X4
Это
частный случай
на предприятиях
электронной
промышленности.
X1
- товарный
выпуск, тыс.
руб.
X2
- фондоотдача
X3
- себестоимость
X4
- материалоемкось
IV.
Статические
методы
: особенность
- могут применяться
для диффузионных
и плохо организованных
систем (с вероятностными
характеристиками).

Если
зафиксировать
все параметры
и изменять
только один,
то получим
прямую.
Ф(х) - оператор,
формализующий
систему.
Отображение
системы происходит
с помощью
вероятностных
характеристик
и система
представляется
в виде размытой
области.
Таблица
использования
статистических
методов при
реализации
управленческих
функций.
|
|
Этапы
процесса
управления |
|
Статистические
методы |
Подготовка
информа-ции |
Выявление
направле-ний
анализа |
Исследо-вание
выявленных
проблем |
Разработка
и принятие
решений |
Принятие
решений |
Организа-ция
выполнения
решений |
Учет
и контроль
хода вы-полнения |
Анализ
эфф-ективности
полученных
результатов |
|
1 |
2 |
3 |
4 |
5 |
6 |
7 |
8 |
9 |
| 1. |
Статистическое
наблюдение |
+
|
|
|
|
|
|
+
|
|
| 2. |
Группировка
и классификация |
+
|
+
|
+
|
|
|
|
+
|
+
|
| 3. |
Расчет
абсолютных
величин, относительных
и средних
показателей |
+
|
+
|
+
|
|
|
|
+
|
+
|
| 4. |
Методы
исследования
динамических
рядов |
|
+
|
+
|
|
|
|
+
|
+
|
| 5. |
Индексный
метод |
|
+
|
+
|
|
|
|
+
|
+
|
| 6. |
Корреляционно-регрессионный
анализ |
|
+
|
+
|
|
|
|
|
+
|
| 7. |
Дисперсионный
анализ |
|
+
|
+
|
|
|
|
|
+
|
| 8. |
Экспертные
методы |
+
|
+
|
+
|
+
|
|
|
|
|
| 9. |
Факторный
и компо-нентный
анализ |
|
+
|
+
|
|
|
|
|
+
|
Статистические
наблюдения
- хронометражное
установление
научно-обоснованных
норм.
Группировка
и классификация
- включает
многомерные
группировки
и классификации.
Индексные
методы широко
используются
в экономических
и социально-экономических
системах (индекс
цен и т.п.).
(5, 6, 7) - область
методов МАИС.
Задачи, решаемые
с помощью
статистических
методов :
Методы
статистического
контроля качества
:
вероятность
получения
годных изделий
на выходе объекта
управления
контроль
качества для
анализа информационных
потоков
Методы измерения
риска :
ожидаемое
значение при
соответствующей
вероятности
риска
Задачи определения
и разрешения
неопределенности
:
H0
= log(m)
H0
- начальная
энтропия
m
- состояний
системы
H
= -Px*log(Px)
Меняется
основание log
Ю
меняется множество.
H
= H0
, если
равновероятные
исходы, т.е. все
Px
= 1/m
Чем больше
неопределенность,
тем важнее
единица информации
о состоянии
системы.
Методы нормального
распределения
статистики.

Марковские
процессы (марковские
цели).
Это случайный
процесс, когда
при известном
значении случайной
величины x(t)
=
x(t)
= S , при t
> t (в последующий
момент),
случайные
величины не
зависят от
значений x(u),
при u
Цепь Маркова
- это последовательность
состояний
системы, для
которой известна
вероятность
того, что в момент
времени t
имеет место
состояние St
.
Pij
- вероятность
того, что система
находится в
переходе из
состояния i
в состояние
j
(вероятность
перехода системы
из i
в j,
совершаемое
системой за
1 шаг, где j
- целочисленные
величины, т.е.
это дискретная
цепь Маркова)
Для того,
чтобы рассчитать
состояние
системы в любой
момент времени
t
в фазовом
пространстве
состояний,
нужна матрица
вероятностей
P
= (Pij),
где порядок
равен числу
состояний
системы (в начальный
момент времени).
Таким образом
можем вычислить
вероятность
Pj(k)
(в момент
времени t
= n)
- вероятность
перехода системы
в состояние
j
в момент времени
n.
Методы анализа
использования
рабочего времени
(методы установления
научно-обоснованных
норм) :
метод моментных
наблюдений
хронометраж
рабочего времени
фотография
рабочего дня
Анализ складских
запасов
V.
Теоретико-множественные
методы.
Система
представляется
в виде множества
или набора
множеств (многомерное
множество) и
отношений между
этими множествами.

При подмножестве
- их элементы
создают соответствующее
множество из
точек, которые
все принадлежат
этим множествам.
Например,
рабочие профессии
а, участка
б и
возраста в
составляют
множество М.
Теоретико-множественные
представление
систем используются
для построения
баз данных
информационных
систем (например,
реляционные
базы данных).
VI.
Логические
методы.
Переводят
реальную систему
и отношение
между элементами
этой системы
на язык одной
из алгебр логики
(например, алгебра
Буля).
Используется
предметная
область этой
алгебры (высказывания,
предикаты и
т.д.). Используется
для логического
анализа и синтеза
сложных систем
(особенно в
технических
системах) и при
исследовании
структур систем
разной природы
(там, где невозможно
применить
статистические
и аналитические
методы).
VII.
Лингвистические
и семиотические
методы.
Базируются
на понятиях
Тезауруса Т
и грамматики.
Тезаурус
- это словарь
данного профессионального
языка, области,
который содержит
синтаксические
единицы языка.
Грамматика
- правила объединения
этих смысловых
(семантических)
единиц в логические
фразы, которые
имеют понятийное
направление.
Применение
- разрабатываются
языки моделирования
систем и систем
автоматизированного
проектирования,
языки программирования.
Используются
для формального
анализа текстов
и языков, а также
процессов в
сложныз системах
(когда не удается
применить
другие методы).
Эти методы
характерны
для плохо
организованных
систем.
Графическое
представление
системы :
метод графов
метод сетей
и т.п.
Строится
граф взаимозамовисимостей
элементов
системы и затем
анализируется.
Оператор
переводит
систему в
соответствующее
графическое
представление
:
органиграммы
документограммы

Лекция
10 08.04.97
Модели и
моделирование
систем управления.
План.
Определение
модели и моделирования.
Классификация
моделей.
Законы и
факторы эффективного
моделирования.
Специфика
моделей систем
управления
фирмами.
Основные
виды моделей
и характеристики.
Вопрос 1
: Определение
модели и моделирования.
Моделирование
- процесс построения
условного
образа исследуемой
системы (процесса,
явления).
Цель - отображение
наиболее существенных
параметров
функционирования
и развития
системы в будущем.
Модель - условный
образ исследуемой
системы. Модель
конструируется
субъектом
исследования
так, чтобы отобразить
характеристики
объекта (свойства
систем управления,
взаимосвязи
между ее элементами,
структурные
и функциональные
параметры).
Требования,
предъявляемые
к моделям :
точное отражение
структуры и
процессов
функционирования
моделируемой
системы
допущения
при описании
системы путем
моделирования
должны быть
минимальны
число параметров
адекватно
сложности
системы
достаточная
оперативность,
т.к. ресурс времени
для принятия
решений ограничен
наличие
параметра
оптимизации
- цель моделирования
Этапы моделирования
:
изучение
объекта и выделение
его наиболее
существенных
характеристик
конструирование
модели на основе
анализа (между
параметрами
нужно определить
взаимосвязи)
экспериментальный,
практический,
и теоретический
анализ проблемы
сопоставление
результатов
с данными об
объекте
корректировка
модели в соответствии
с полученными
результатами
проверка
качества отображения
объекта или
адекватности
модели
Вопрос 2
: Классификация
моделей.
Признаки
классификации
модели :
Учет фактора
неопределенности
:
детерминированные
модели - для
данной совокупности
входных значений
параметров
на выходе системы
может быть
получен единственный
результат
случайные
модели (вероятностные)
- на выходе
получаются
неоднозначные
значения параметров
Учет фактора
времени :
статические
модели - все
зависимости
отнесены к
одному моменту
времени и не
меняются во
времени
динамические
модели - описывают
систему управления
в динамике (во
времени). Динамическую
модель можно
описать рядом
статических
моделей
Учет непрерывности
моделируемых
процессов :
дискретные
модели - все
переменные
в данной модели
отображены
дискретными
величинами
(целочисленные
значения,
скачкообразные)
непрерывные
модели - не содержат
дискретных
величин, т.е.
модели отображаются
дифференциальными
и интегральными
уравнениями
Тип связи
между моделируемыми
элементами
:
линейные
модели - отображают
состояние или
функционирование
системы таким
образом, чтобы
все взаимозависимости
в ней принимаются
линейными.
Линейная модель
формулируется
в виде одного
или системы
линейных уравнений
нелинейные
модели - взаимозависимости
отображаются
нелинейными
функциями
(показательные
функции, мультипликативные
функции : I
= a*x1*x2,
экспоненциальные
уравнения)
Способ первичного
представления
моделей :
физические
модели - материальные,
вещественные,
макетные модели
- построены
точно по соответствию
структуре
систем различных
природ
абстрактные
модели или
концептуальные
модели - предварительные,
приближенные
представления
о системе управления
Степень
подобия объекту
:
гомоморфные
модели - упрощенная
модель, - одностороннее
отображение
подобия
изоморфные
модели - точное
подобие - каждому
элементу из
системы соответствует
элемент из
модели и в обратном
направлении
Вопрос 3
: Законы
и факторы
эффективного
моделирования.
См. Требования
к моделям
Вопрос 4
: Специфика
моделей систем
управления
фирмами.
Наличие
экзогенных
и эндогенных
факторов :
Множественность
моделей
Учет социально-технического
характера
управления
фирмой
Необходимость
учета риска
и неопределенности
- знание всех
возможных
результатов
и их последствий
Вопрос 5
: Основные
виды моделей
и характеристики.
Основные
группы моделей
систем управления
предприятием
:
организационные
структурные
функциональные
математические
информационные
Организационные
модели.
Цель организационного
моделирования
- рационализация
распределения
обязанностей
между работниками
СУ, организационными
структурами
и службами СУ.
Основные
виды ОМ :
Органиграммы
(оргограммы,
оперограммы)
Хрономограммы
и топограммы
- это графически
отображающие
расположение
предметов во
времени и
пространстве
Диаграммы,
комограммы
(?), сектограммы
(?), нивограммы
Сетевые
модели
Органиграммы
- графическое
представление
информационного
взаимодействия
в СУ управляющих
звеньев и
исполнителей
в соответствии
с выполняемыми
ими функциями.
Органиграмма
процедуры
делопроизводства.
|
|
|
Служба
канцелярии |
|

|
Руководи-
тели
высш
|
Отделы |
Секретари |
Экспедиция |
Участок
регистрац. |
Участок
контроля |
Справочная |
Архив |
| 1.
Экспедиционная
обра-ботка
поступающей
ин-формации |
|
|
|
|
|
|
|
|
| 2.
Регистрация
входящих
документов |
|
|
|
|
|
|
|
|
|
3. Исполнение
докумен-тов
|
|
|
|
|
|
|
|
|
Условные
обозначения
для органиграмм
:

Органиграмма
прохождения
проектов новой
техники.
| Этапы |
Исполнители |
Примечания |
| процесса |
Заказчик |
Главный
министр
|
Главный
инженер |
Директор
института
|
Зам.
по науке |
Главный
конструктор
|
Началь-ник
КБ |
Группа
КБ
|
|
|
1.
Согласование
и выдача техни-ческих
требова-ний
|
|
|
|
|
|
|
|
|
|
Лекция
11 15.04.97
Анализ СУ
с помощью
структурного
моделирования.
План.
Структурные
модели и особенности
их построения.
Закономерности
формирования
орг. структур
СУ.
Правила
оптимизации
орг. структур
СУ.
Система
показателей
структурного
анализа СУ.
Методы орг.
развития систем
управления.
Вопрос 1
: Структурные
модели и особенности
их построения.
Структурная
модель СУ
- форма представления
связей и отношений
между элементами
и подсистемами
СУ.
Структура
СУ - инвариантный
аспект системы
(неизменность
системы по
отношению к
некоторому
ее изменению)
- формальное
отображение
системы в виде
графа, вершинами
которого являются
элементы системы,
а дугами - связи
между ними.
Особенности
моделирования
орг. структур
управления
- вытекают из
специфики самих
экономических
систем :
должно быть
учтено проявление
человеческого
фактора
необходимо
отражение в
модели пространственно-временной
распределенности
системы
 
учет разнообразия
условий функционирования
- производственные
факторы настолько
различны по
своему действию,
что говорить
об однородности
очень трудно.
необходимость
переработки
необозримого
объема информации
- равнение на
слабейшее
звено в системе
необходимость
избегать деформации
информации
в собственных
целях
Факторы,
влияющие на
орг. структуру
системы и на
ее модель :
цели, стоящие
перед управляемым
объектом
ресурсы,
необходимые
системе или
объекту управления
технология
: масштаб и тип
производства.
Операционность
процесса (количество
и сложность
операций процесса)
организационно-технический
уровень производства
: уровень выпускаемой
продукции,
используемой
технологии,
используемых
средств производства,
корпоративная
культура
макросреда,
окружающая
предприятие
Вопрос 2
: Закономерности
формирования
орг. структур
СУ.
Условные
обозначения
:
-
r - число
инстанций между
данным элементом
СУ и каждым
остальным
элементом СУ.
- H
- критерий
управляемости
и связанности
(потенциал
управления
и его
эффективность)
®
max/
-
R
- параметр
взаимодействия
между элементами
(число решаемых
или задач управления)
R+RA
= 1 , где R
- доля
непосредственных
связей между
элементами,
RA
- доля
функций или
связей центрального
управления
- М - число
объектов управления
а)
r=2
Прямое
(централизованное
управление)
[один
уровень управления]
Каждый элемент
связан с другим
через центральный
уровень управления.
а
- перерабатывает
колоссальное
количество
информации
r
=
2
- равен
удвоенному
числу уровней
управления
Ha>1
- очень
высок, но не
осуществим
из-за колоссального
количества
информации
б) r
=
4
Hб

линейное
управление
Ra
+ Rb + Rc = 1

в) Нв>Нб
[за
счет обособления
функций в а
и
b]
Линейно-функциональное
управление.
В рамках
линейного и
функционального
управления
объекты связаны
через 2 инстанции,
а смешанные
вопросы в рамках
линейного и
функционального
руководства
связаны только
через центральный
орган.
г)

Процедура
разделения
функций может
продолжаться
сколь угодно
долго, например,
для трех параллельных
управлений
а, b,
c с центральным
управлением
в центре d.
В соответствии
с этим получим
Нг>Нв,
поскольку
только функция
координации
Ra
осуществляется
через 1/4 часть,
т.е. Rc=1/4,
Ю
роль координационного
центра уменьшается,
увеличивается
роль самостоятельных
центров.
Однако эффект
снижается из-за
худшей централизации
по сравнению
с вариантом
а).
Я
д) Придание
самостоятельности
органам управления

Hд>=На
Наилучшим
образом проблема
целостности
системы решается,
если объекты
управления
вступают в
непосредственные
связи на своем
уровне, т.е. через
одну инстанцию.
Если
бы такие связи
не вступали
в противоречие
друг с другом,
то потенциал
самоуправления
был бы в 2 раза
выше, чем На и
тем больше, чем
меньше доля
централизованного
управления.
е)
Разрешение
противоречия
через 3 - а - 1, 2 - а -
1.
Конфликтная
ситуация между
объектами 2 и
3.
Лекция
12 24.04.97
Закономерности
образования
орг. структур.

R
+ Ra =1
задачи, решаемые
задачи, решаемые
самостоятельно
централизованно
Прямое управление
невозможно
из-за большого
объема информации.
Потенциал
управления
(эффективность
управления)
- возможность
принимать
необходимое
и достаточное
количество
управленческих
решений в
зависимости
от технической
оснащенности
- тем меньше,
чем больше
уровней управления,
т.к. часть объектов
оказывается
связанной
между собой
удвоенным
числом инстанций.
Для снижения
"чиновничьего
шума" в линейной
организации
строят иерархию
не по древовидному
виду, а по смешанному
типу.
При чрезмерном
увеличении
функциональных
звеньев эффект
управления
снижается
из-за ухудшения
централизованного
управления
(координации).
Проблема
связанности
системы управления
наилучшим
образом решается,
если элементы
непосредственно
контактируют
на своем уровне.
Из-за противоречий,
которые решаются
централизованно,
потенциал
самостоятельного
управления
снижается.
Вопрос 3
: Правила
оптимизации
орг. структур
СУ.
Максимально
развивать
непосредственные
связи между
объектами
управления,
пока они не
вступают в
противоречие
друг с другом.
По мере возможности
уменьшать
число уровней
централизованного
управления.
Добиваться
максимальной
общей связанности
даже за счет
снижения потенциала
маломощных
объектов управления.
Группировать
службу управления
таким образом,
чтобы взаимосвязи
между ними
требовали
минимального
согласования
в центральных
органах.
Пути реализации
вышеперечисленных
правил :
Создание
неформальных
структур
Создание
большего количества
звеньев - вертикальная
интеграция
: сокращает
число уровней
управления;
горизонтальная
интеграция
сокращает
число звеньев
в каждом уровне.
Принципы
построения
оргструктуры
СУ :
комплексность
- охват всех
целей, функций
управления
профилактичность
- прогнозирование,
планирование
(в основном
долгосрочное)
и построение
краткосрочных
планов
оптимальность
- возможность
построения
модели, которая
позволяет
оптимизировать
оргструктуру
оперативность
- управляющее
решение не
должно запаздывать
надежность
- бесперебойная
работа системы
управления,
ее живучесть
гибкость
- способность
функционировать
в условиях
переменных
целей и производственных
ситуаций
S
М
{L, П, О, Т, С,
К}
ЇЇЇЇЇЇЇЇЇЇЇЇЇЇЇЇ
s
М
{l, п, o,
t,
c,
к} -
одновариантность
системы, негибкая
L
-
трудовые
ресурсы
П - производственные
ресурсы
О - оборотные
средства
Т - технологии
С - внешняя
среда
К - природные
факторы
непрерывность
- увеличение
числа решаемых
управленческих
задач
типовость
- унификация
принимаемых
решений, использование
стандартных
приемов
принцип новых
задач : рутинные,
традиционные,
системные,
оптимизационные
задачи
Вопрос 4
: Система
показателей
структурного
анализа СУ.
виды оргструктур
:
линейная
структура
(мелкие предприятия)
функциональная
структура
(функциональное
делегирование
полномочий)
линейно-функциональная
структура
(традиционна
для РФ)
матричная
структура или
координационная
дивизиональная
структура
(принцип диагональных
самостоятельных
структур - штабы)
программно-целевые
структуры
(предусматривают
формирование
структуры по
программам)
состав органов
управления
:
количественные
параметры.
специализация
труда в аппарате
управления
- закрепление
за работниками,
подразделениями,
службами, органами,
управлениями
определенных
видов деятельности,
работ, функций
или объектов
управления.
Закрепление
функций осуществляется
с помощью
регламентирующих
документов
(должностные
инструкции,
штатное расписание,
технологические
карты и т.д.).
Степень
специализации
измеряется
®
доля специальных
функций, выполняемых
службой в общем
объеме работ
службы ®
rc
=
Rсп/R,
Rсп
- специализированные
задачи, R
- общее количество
задач.
централизация
СУ - построение
СУ и организация
ее функционирования
так, что существует
постоянно
действующая
и достаточно
устойчивая
связь каждого
звена управления
с центральным
органом управления
.
Степень
централизации
- концентрация
власти на
вышестоящем
уровне - доля
функций управления,
решаемых на
верхнем уровне.

Ra
- трудоемкость
на верхнем
уровне.
- количество
уровней в СУ
- количество
звеньев на
данном уровне
управление
Построение
структур СУ
:
Определение
объектов управления
и характера
выполняемой
управленческой
работы и ее
объем. Этапы,
виды, постановка
задач СУ.
Распределение
работы между
отдельными
позициями
менеджмента
(группа задач,
имеющая одно
функциональное
назначение)
Классификация
позиций менеджмента
и построение
на этой основе
логических
групп управления
(принцип ориентации
- выявление
ориентирующего
звена - по видам
работ).
Факторы,
учитываемые
при построении
СУ :
Стратификация
- число уровней
управления.
Формализация
- на сколько
система будет
бюрократична.
Централизация
- иерархия
доведения
решений до
исполнителя.
Сложность
структуры.
Методы
организационного
развития :
Методы улучшения
межгрупповых
отношений -
создание
параллельных
организаций
работ; неформальные
группы.
Методы
социотехнического
подхода - автономные
рабочие группы
на уровне
исполнителей;
участие персонала
в принятии
решений;
переструктуризация
работы - обновление
кадров и ротация
функций; изменение
и обогащение
содержания
труда - привнесение
творческой
струи в каждую
работу; улучшение
качества трудовой
жизни (микроклимат).
Лекция
13 06.05.97
Анализ
функциональной
структуры СУ.
План.
Понятие ФС
СУ и ее характеристика.
Последовательность
анализа функций.
Методы и
показатели
функционального
анализа.
Вопрос 1
: Понятие
ФС СУ и ее характеристика.
ФС СУ - состав
и соотношение
между отдельными
специализированными
подразделениями
в области подготовки
обоснования
управленческих
решений.
ФС СУ подразделяется
по призраку
выполняемых
функций :
Функциональные
подсистемы
выделяют по
функциям управления,
имеющим единую,
целевую направленность.
Обеспечивающие
подсистемы
выделяют по
признаку функций,
обеспечивающих
условия реализации
решений, вырабатываемых
в функциональных
подсистемах.
Целевые
подсистемы
выделяют по
признаку целей,
на реализацию
которых они
направлены.

.
Матричная
модель ФС СУ.
|
п/с
п/с
|
Функциональные
подсистемы |
Обеспечивающие
подсистемы |
| Целевые
подсистемы |
|
|
Функциональны
подсистемы
:
подсистема
управления
технической
подготовкой
производства,
УТПП
технико-экономическое
планирование,
ТЭП
оперативное
управление
производством,
ОУП
управление
сбытом и финансовой
деятельностью
управление
материально-техническим
снабжением
управление
организацией
труда и з/п, УОТиЗП
управление
персоналом,
УП
управление
маркетингом,
УМ
Обеспечивающие
подсистемы
:
информационное
обеспечение,
ИО
техническое
обеспечение,
ТО
программное
обеспечение,
ПО
организационно-экономическое
обеспечение,
ОЭО
правовое
обеспечение,
ПрО
Целевые
подсистемы
:
управление
основным
производством,
УОП
управление
вспомогательным
производством,
УВП
управление
качеством, УК
управление
социальным
развитием
коллектива,
УСКР
управление
охраной окружающей
среды, УООС
Классификация
функций по
следующим
признакам :
по зависимости
от объекта
управления
:
прогнозирование
планирование
организация
контроль
координация
учет
|
Осуществляются
в каждой
производственной
системе; инвариантны
к конкретным
Ф подсистемам;
обеспечивают
управляемость |
по признаку
содержания
управленческого
труда :
управление
технической
подготовкой
производства,
УТПП
технико-экономическое
планирования,
ТЭП
оперативное
управление
производством,
ОУП
управление
сбытом и финансовой
деятельностью
управление
материально-техническим
снабжением
управление
организацией
труда и з/п, УОТиЗП
управление
персоналом,
УП
управление
маркетингом,
УМ
по признаку
объекта управления
:
управление
предприятием
в целом
управление
подразделением
управление
цехом
управление
бригадой
управление
участком
управление
рабочим местом
по видам
деятельности
:
по признаку
однородности
работ :
по целям
деятельности
:
управление
основным
производством,
УОП
управление
вспомогательным
производством,
УВП
управление
качеством, УК
управление
социальным
развитием
коллектива,
УСКР
управление
охраной окружающей
среды, УООС
Функция
управления
- относительно
обособленное
направление
управленческой
деятельности,
осуществляющее
управленческое
воздействие.
Цель анализа
функциональной
структуры СУ
:
выявление
возможностей
концентрации
однородных
работ в рамках
определенных
подразделений
углубленная
специализация
функциональных
служб
рационализация
разделения
труда между
функциональными
подразделениями
разных иерархических
уровней
Функциональные
подсистемы
характеризуются
:
специфическим
объектом управления
(процессом
управления)
специфическим
субъектом
управления
(осуществляет
координацию
управления)
входами и
выходами
внутренней,
сравнительно
замкнутой
информационной
системой
особый круг
задач, решаемых
в данной подсистеме
Вопрос 2
: Последовательность
анализа функций.
Последовательность
анализа функций
:
определяется
полнота охвата
функций всеми
подразделениями
СУ
|
Работа,
i
|
УТПП |
ТЭП |
ОУП |
| 1 |
+ |
+ |
+ |
| 2 |
|
|
|
| 3 |
|
|
|
| 4 |
|
|
|
степень
соответствия
структуры
функциональных
служб содержанию
работы СУ
уровень
концентрации
работ в функциональных
подразделениях
- трудоемкость
работ j-го
подразделения
уровень
специализации
работ функциональных
подразделений
=
|
трудоемкость
по i-ой
функции в j-ом
подразделении
|
|
общая
трудоемкость
по i-ой
функции в СУ
|
Ю 
соотношение
централизованного
и децентрализованного
выполнения
работ в функциональном
подразделениях
степень
соответствия
функциональной
подсистемы
общим критериям
построения
системы управления
(централизация,
концентрация,
специализация,
гибкость,
прямоточность,
информационная
обеспеченность,
экономическая
эффективность)
Эффективность
административно-технического
персонала :
; 
сопоставление
действующей
функциональной
структуры с
регламентируемой
(типовые, стандартные
структуры)
Вопрос 3
: Методы
и показатели
функционального
анализа.
Показатели
функционального
анализа :
коэффициент
полноты охвата
функций управления
:
-
количество
работ проводимых
в аппарате
управления
соответственно
фактически
и по нормативу.
коэффициент
неполноты
выполняемых
фунций :
;
Rн
- количество
работ, незакрепленных
ни ха одним
подразделением
коэффициент
дублирования
работ
;
RД
- количество
работ, закрепленных
за несколькими
подразделениями
Особым направлением
анализа ФС
является изучение
организации
работ по обслуживанию
функционального
аппарата управления.

I
вид
структуры II
вид
структуры III
вид структуры
Лекция
14 08.05.97
Исследование
управления
посредством
социально-экономического
эксперимента
План.
Понятие и
виды экспериментов
в ИСУ.
Социально-экономический
эксперимент
как инструмент
поиска новых
средств достижения
поставленных
целей.
Социологические
исследования
и тестирование
в управлении.
Вопрос 1
: Понятие
и виды экспериментов
в ИСУ.

Принцип
Питера Л. : порочность
иерархической
системы. В
иерархии каждый
индивидуум
имеет тенденцию
подниматься
до своего уровня
некомпетентности.
Законы группового
поведения :
закон неопределенного
оптимума -
восприятие
людьми внешних
воздействий
различно и
часто непредсказуемо,
например,
управляющий
и работник
закон неадекватности
отображения
человека человеком
- человек не
может постичь
другого человека
закон неадекватности
самооценки
- человек сам
себя не познает
до конца
закон расщемления
смысла управленческой
информации
- то, что разработано
на верхнем
управленческом
уровне (приказы),
имеет тенденцию
изменяться
по мере снижения
от одного
иерархического
уровня до другого
закон самосохранения
- ведущим мотивом
социального
поведения
человека является
сохранение
личного статуса,
достоинства,
уважения и
т.д.
закон компенсации
- поддерживает
человека на
определенном
уровне, компенсируя
его психологические,
социальные
и умственные
недостатки
Эксперимент
- пробы, опыт,
общенаучный
метод получения
в контролируемых
и управляемых
условиях новых
знаний о
причинно-следственных
связях между
явлениями и
процессами.
Эксперимент
- критерий
истинности
гипотез.
Социальный
эксперимент
- метод научного
познания, основанный
на создании
специальных
для изучения
изменения
характеристик
социального
объекта под
управляющим
воздействием.
Если соц.
эксперимент
сопровождается
экспериментом
в области экономики,
то они в комплексе
представляют
собой соц-экономический
эксперимент.
Управленческий
эксперимент
- пробное внедрение
управленческого
нововведения
с целью оценки
возможный
последствий.
Вопрос 2
: Социально-экономический
эксперимент
как инструмент
поиска новых
средств достижения
поставленных
целей.
Социально-экономический
эксперимент
ставит задачи
:
отработка
более действенных
методов или
систем материального
стимулирования
и мотивации
уточнение
распределения
прав и ответственности
в СУ
совершенствование
порядка взаимодействия
действий в СУ
задачи
коммуникации
или смыслового
взаимодействия
задачи инженерной
психологии
- возможности
и потенциал
органов человеческих
чувств
задачи
взаимодействия
человека и
машины
задачи
нововведения
и проблемы их
внедрения
Схемы постановки
эксперимента
:
Классическая
схема постановки
соц-экон эксперимента
| Подразделение |
Результат
функционирования
подразделения |
Зафиксированные |
|
до
эксперимента |
после
эксперимента |
изменения |
| 1. Экспериментирующее |
Э - текучесть
кадров |
Э'
|
Э'
- Э
|
| 2. Контрольное
(работает без
эксперимента) |
К |
К'
|
К'
- К
|
| Эффект
эксперимента |
(Э'
- Э) - (К'
- К)
|
Корректирующая
схема постановки
соц-экон эксперимента
или квази-эксперимент
Основные
характеристики
корректируемого
эксперимента
:
вводится
усиление контроля
путем введения
двух групп
подразделения,
экспериментирующих
и сравнения
- для улавливания
искажающего
эффекта, на
который воздействует
сам процесс
доэкспериментного
измерения.
оба эти
подразделения
не подвергаются
измерениям,
что позволяет
получить эффект
в чистом виде
при расчете
эффекта за
основу берется
значение параметров
второго
экспериментального
подразделения
после внедрения
управленческого
нововведения
данные о
первоначальных
параметрах
второго подразделения
приравниваются
к среднеарифметическому
значению первых
двух групп,
тогда искажающий
эффект измеряется
разницой изменений
в параметрах
первой и второй
группы сравнения
Схема корректируемого
эксперимента.
|
Подразделение |
Результат
функционирования
подразделения |
|
|
до
эксперимента |
после
эксперимента |
| 1-я
группа |
Экспериментальное
подразделение
№1.
Группа
сравнения
№1.
|
Э1
C1
|
Э1'
C1'
|
| 2-я
группа |
Экспериментальное
подразделение
№2.
Группа
сравнения
№2.
|
-
-
|
Э2'
C2'
|
|
Эффект
эксперимента |
Э2'
- (Э1
+ С1)/2
|
|
Искажающий
эффект измерения |
(С1'
- C1)
- [ C2'
- (Э1
+ С1)/2
]
|
Вопрос 3
: Социологические
исследования
и тестирование
в управлении.
Социологические
исследования
проводятся
с целью выявления
социальных
последствий
управленческих
нововведений.
Гальтон (в
1870-ых годах на
основании
проделанных
социологических
экспериментов
предложил
теорию группировки
идей по качеству
интеллекта.

На основе
этой теории
можно тест
(?).
Ревизия
тестов - выправление
фактической
кривой распределения
по тесту в
соответствии
с нормальным
законом распределения.
Лекция
15 13.05.97
Оценка
потенциала
или рейтинга
СУ
План.
Основные
показатели
СУ фирмой
Порядок
оценки рейтинга
СУ
Анализ рейтинга
и выработка
рекомендаций
по его повышению
Вопрос 1
: Основные
показатели
СУ фирмой.

Если
FC'
велики, то
организация
работает
неэффективно.
Уничтожение
бюрократии
достигается
изменениями
в правилах
управления,
а не заменой
менеджеров
и управляющих.
Рейтинг СУ
- интегральная
оценка СУ,
отражающая
организационно-техническое
исполнение
СУ.
Задачи, решаемые
при оценке
рейтинга :
определение
того, насколько
данная СУ
удовлетворяет
требованиям,
предъявляемым
к ней (оперативность,
гибкость,
эффективность)
на сколько
уровень ее
научно-технического
исполнения
отвечает
современным
возможностям
выявление
соответствия
подсистем и
компонентов
создаваемой
или действующей
СУ сформированным
на данном этапе
развития в
соответствии
базовым показателям
(?)
Требования,
предъявляемые
к показателям
:
каждый показатель
должен характеризовать
совокупность
элементов, от
которой зависит
рейтинг системы
каждый показатель
должен поддаваться
количественной
оценке
число показателей
для определения
рейтинга должно
быть ограничено
для измерения
значений
показателей
должна применяться
безразмерная
шкала (?)
показатели
должны стимулировать
внедрение
наиболее
эффективных
вариантов СУ
Ri
- группы показателей
R1
- уровень
принимаемых
управленческих
решений
R2
- уровень
используемой
информационной
базы
R3
- уровень
обеспечивающих
подсистем
R4
- уровень
функциональных
структур СУ
R5
- уровень
технологии
принятия решений
R6
- уровень
социальной
базы СУ
R1 = {ri} :
r1
- научная база
принятия решений
r2
- методы и модели,
используемые
при решении
задач
r3
- учет степени
риска (обоснованы
ли решения с
точки зрения
риска)
r4
- оперативность
принимаемых
решений
r5
- число ошибочных
решений, принимаемых
менеджером
r6
- эффективность
принятия решений

r7
- новизна
и перспективность
решения (чем
долговременней
эффект, тем
лучше)
R2
= {ri} :
r1
- наличие
нормативно-справочной
базы
r2
- наличие
автоматизированной
базы данных
(АБД)
r3
- степень интенсивности
использования
банка данных
r4
- степень доступа
к банкам данных
сотрудников
СУ
r5
- влияние информационной
базы на установление
коммуникации
между пользователями
: до 68% - для специалистов,
до 95% - для высшего
управляющего
звена
r6
- эффективность
АБД

R3
= {ri} :
r1
- уровень
механизации
и автоматизации
обеспечивающих
подсистем
r2
- уровень
методического
и математического
обеспечения
r3
- уровень программного
обеспечения
r4
- уровень
организационного
обеспечения
(рациональный
уровень централизации,
специализации,
концентрации
функций, гибкости,
управляемости,
исполнительности)
r5
- уровень
экономического
обеспечения
r6
- уровень кадрового
обеспечения
R4
= {ri} :
r1
- организационно-технический
уровень функций
СУ
r2
- степень
централизации
и специализации
исполнения
функций
r3
- соответствие
квалификаций
исполнителей
выполняемым
функциям
r4
- оперативность
и качественность
решений, принимаемых
функциональными
подразделениями
R5
= {ri} :
r1
- уровень
технических
средств, используемых
при принятии
решений
r2
- число
научнообоснованных
методов принятия
решений
r3
- степень
новизны процедур
принятия решений
r4
- удовлетворение
требованиям
технологий
принятия решений
(оперативность,
ритмичность,
непрерывность,
сокращение
длительности
цикла принятия
управленческих
решений)
R6
= {ri} :
r1
- уровень кадровой
работы (текучесть
кадров, динамика,
состав, структура
и квалификация
кадров)
r2
- социально-психологическая
обстановка
в коллективе
r3
- стиль
работы руководителя
СУ
r4
- оценка и стимулирование
труда в СУ
; р - реализованный,
б - базовый
Rр
= ¦(R1,
R2, R3, R4, R5, R6)
,
, 0

ri
- стандартизированное
значение i-го
показателя
Вопрос 3
: Анализ
рейтинга и
выработка
рекомендаций
по его повышению.
Метод семантического
дифференциала
| отлично |
|
|
Rр
|
|
|
|
Rб
|
|
|
|
|
|
|
плохо |
|
 показатели
|
|
|
* |
|
|
|
* |
|
|
|
|
|
|
|
|
 
|
|
|
|
|
* |
|
|
|
* |
|
|
|
|
|
|
 
|
|
|
|
|
|
|
* |
* |
|
|
|
|
|
|
|
|
|
|
|
|
* |
|
|
* |
|
|
|
|
|
|
|
|
|
|
|
|
|
|
|
|
|
|
|
|
Лекция
16 23.05.97
Анализ
процессов
обоснования,
принятия и
выполнения
управленческих
решений
План.
Сущность
и разновидности
управленческих
решений (УР)
Анализ состава
УР
Анализ методов
обоснования
и принятия УР
Учет фактора
риска при принятии
Вопрос 1
: Сущность
и разновидности
управленческих
решений (УР).
Эффективное
использование
капитала.
; Д - любой источник
прибыли, К -
капитал.
Управленческое
решение
- это одноразовый
акт воздействия
на объект
управления,
который устанавливает
программу
действий,
направленных
на определение
и реализацию
конкретной
цели, вытекающей
из общих задач,
стоящих перед
управляемым
объектом.
УР должно
быть основано
на :
Требования,
предъявляемые
к УР :
Требование
одноразового
воздействия
на объект
управления
Альтернативный
характер решений
УР должно
быть целенаправленным

Каждое
управленческое
решение должно
быть снабжено
программой
действий

Каждое УР
должно быть
ресурсно и
организационно
обеспечено
УР должно
быть адресным
Требование
ответственности
за УР

Управленческая
"пятерня" как
принцип требовательности
и ответственности
к УР.
Учет риска
при принятии
УР
Разновидности
УР по признаку
структуризации.

Разновидности
УР (по другим
признакам)
| Признаки
классификации |
Управленческие
решения |
| Масштаб
объекта |
|
|
|
стратегические
(>5
лет)
тактические
(на 1 год)
оперативные
(на 1 месяц)
|
|
|
перспективные
текущие
регулировочные
|
|
|
|
|
|
формализованные
эвристические
|
|
|
структуризованные
вероятностные
поисковые
|
|
|
прямой
директивный
косвенный
|
|
|
|
|
|
одноуровневые
многоуровневые
|
|
|
письменные
устные
смешанные
|
Вопрос 2
: Анализ
состава УР.
Анализ состава
УР может быть
качественным
и количественным.
Цель
анализа
: проанализировать
УР на соответствие
предъявляемым
требованиям
Качественная
оценка
осуществляется
путем изучения
содержания
УР.
Количественная
оценка
УР : сопоставление
удельного веса
тех или иных
решений, принятых
за определенный
период.
Анализ
превентивности
УР - следующий
вид анализа
(?)
Анализ на
научную обоснованность
: анализ различных
вариантов УР
и их последствий
Анализ на
соответствие
правовым нормативам
Анализ ресурсного
обеспечения
Анализ
обоснованности
решений с точки
зрения полученного
и расчетного
эффекта
Вопрос 3
: Анализ
методов обоснования
и принятия УР.
(см. лекцию
"Методы анализа
СУ")
Вопрос 4
: Учет
фактора риска
при принятии.
Риск - это
действие или
предприятие
в расчете на
удачу, но с каким-то
(?) исходом.
Риск (с точки
зрения экономики)
- это ситуационная
характеристика
деятельности,
состоящая в
неопределенности
ее исхода и
возможных
неблагоприятных
последствиях
в случае неуспеха.
Риск может
быть рассмотрен
в 3-х направлениях
:
Как мера
ожидаемого
неблагополучия
при неуспехе
Как действие,
грозящее потерей
Как ситуация
выбора между
вариантами
:
Риски бывают
:
Мотивированными
(активными) -
это риск рассчитанный
на ситуативные
преймущества
в деятельности,
т.е. на преодоление
барьера
Немотивированные
(пассивные) -
это риск, возникающий
в текущих
обстоятельствах,
под который
приспосабливаются
: полевое поведение
Оправданные
Неоправданные
Существует
3 направления
снижения риска
:
диверсификация
страхование
приобретение
дополнительной
информации
К параметрам
риска относятся
:
Возможные
последствия
реализации
УР- так называемое
ожидаемое
значение
(полезность)
- Э(Х)
Вероятность
самих последствий
Pi
- вероятность
i-го
исхода принимаемого
решения.
Тогда, Э(Х)
= P1*x1
+ P2*x2 , где
Р1, Р2 - вероятность
2-х вариантов
исхода, х1, х2 -
результат от
данного исхода.
Критерии
оценки степени
риска.
Помимо ожидаемого
значения, критерием
оценки степени
риска может
служить так
называемая
изменчивость,
которая определяется
дисперсией,
среднеквадратичным
отклонением
и средним
отклонением.
s2
= P1*[(х1-Э(Х))2]
+ P2*[(х2-Э(Х))2]
х1, х2 - действительные
значения результата
i-го
исхода
Э(Х)
- усредненное
ожидаемое
значение
- среднее отклонение
= P1*(х1-Э(Х))
+ P2*(х2-Э(Х))
D
= s2
- дисперсия
Ожидаемое
значение
(полезность)
это возможные
последствия
какого либо
действия.
Вероятность
Р это вероятность
самих последствий
Метод определения
вероятности
Pi
основан на
вычислении
частоты, с которой
происходит
некоторое
событие
Лекция
17 27.05.97
Диагностика
и анализ экономической
эффективности
СУ предприятиями
План.
Диагностический
анализ как
важный этап
Порядок
расчета, анализа
экономической
эффективности
СУ
Вопрос 1
: Диагностический
анализ как
важный этап.
Одним из
этапов совершенствования
СУ является
диагностический
анализ (ДА).
ДА - это выявление
достоинств
и недостатков
действующей
СУ.
ДА необходим
для обоснования
проекта и
последовательного
внедрения
мероприятий
по совершенствованию
СУ. По сути дела
ДА это стадия
системного
анализа ()требуется
системный
подход, а именно
разработка
дерева целей
проблем и применение
различных
систем и методов).
ДА включает
:
изучение
действующего
документооборота
на предприятии
выявление
целей функционирования
фирмы
выявление
способов достижения
этих целей
анализ показателей
функционирования
СУ
подготовка
предложений
Схема диагностирования
СУ.
 


 


 


 


 


 


 

Вопрос 2
: Порядок
расчета, анализа
экономической
эффективности
СУ.
Порядок
расчета экономического
эффекта от
внедрения
комплексного
решения проблем.
Эффект может
быть рассчитан
на следующих
стадиях :
на стадии
разработки
мероприятия
на стадии
выработки
рекомендаций
по совершенствованию
СУ
на стадии
внедрения
мероприятия
1.
Анализ источников
эффективности
СУ :
увеличение
объема производства
и реализации
продукции
повышение
производительности
труда персонала
вследствие
сокращения
потерь рабочего
времени
сокращение
производственного
цикла изготовления
продукции
повышение
объема производства
на прежних
мощностях
повышение
качества и
конкурентоспособности
продукции
2.
Приведение
всех экономических
показателей
к сопоставимому
виду.
Приведение
по времени
(капитальные
затраты) :
КСУ
= Кt
* (1 + ЕП)T-t
; Kt
- капиталовложения
в t-ом
году, ЕП
- коэффициент
приведения
(пример :
ссудный процент)
ЕП
»
0.1 ё
0.15
Дисконтирование
(прибыль) :

Дисконт
времени
- это операция,
имеющая целью
учесть неравномерность
затрат и результатов,
относящихся
к различным
моментам времени.
Приведение
по элементам
затрат.
Сопоставимость
экономических
показателей
достигается
путем индексации.
Индексируются
:
Используемые
индексы :
дефлятор
ВВП (макроэкономический
уровень) - это
степень инфляции
по всей совокупности
благ, произведенных
и потребленных
в государстве.
агрегатный
индекс (отраслевой
и региональный
уровень)
(уровень
предприятий)
- индивидуальный
индекс потребительских
цен (ИПЦ) :
ИПЦ :
; P1,
P0
- цена нынешнего
и прошлого
года.
К сопоставимому
виду по тарифным
ставкам з/п
осуществляется
путем индексации
з/п в соответствии
с правительственными
постановлениями.
3.
Выбор показателей
эффекта от
функционирования
СУ.
Система
показателей
может быть
разделена на
группы :
а) обобщающие
показатели
Эффект от
СУ :
;

DПр
- прирост чистой
прибыли (?) за
счет внедрения
данного мероприятия
ПП - промежуточное
потребление
материальных
благ (стоимость
всех материальных
благ и услуг
потребленных
в течение данного
периода функционирования
СУ)
А - амортизация
основных фондов
П - потери в
сфере управления
,
руб/год
N1,
N2
- объем
реализованной
продукции до
и после совершенствования
СУ
П1
- прибыль, полученная
в прошлом году
до совершенствования
СУ
С1,
С2
- затраты на
рубль реализованной
продукции до
и после внедрения
Коэффициент
экономической
эффективности
и срок окупаемости
капитальных
вложений в СУ.

КвлСУ
= Кпр + Квн ; Кпр
(Квн) - коэффициент
проектирования
(внедрения)
капитальных
вложений.

Lмесi
- месячная з/п
разработчиков
Сi
- трудоемкость
(человек/мес)
Кд - коэффициент
доп-й (дополнительной
?) з/п
Кс.н. - отчисление
на социальные
нужды
Кн.р. - коэффициент
накладных
расходов
Квн = Коб + Кл.с.
+ Кпп + Ко.с. + Емонт
+ Котл
Коб - оборудование
Кл.с. - личные
связи
Кпп - производственные
помещения
Ко.с. - оборотные
средства
Емонт - монтаж
Котл - отладка
56
|