рефераты бесплатно
рефераты бесплатно
Главная
Исторические личности
Журналистика
Зоология
Инвестиции
Информатика
История техники
Кибернетика
Коммуникация и связь
Косметология
Криминалистика
Криминология
Кулинария
Культура и искусство
Культурология
Международное публичное право
Международное частное право
Международные отношения
Менеджмент
Металлургия
Налогообложение
Наука и техника
Сельское лесное хозяйство и землепользование
Социальная работа
Социология и обществознание
Спорт и туризм
Строительство и архитектура
Таможенная система
Транспорт

Реферат: Методы размещения и трассировки печатных плат на примере модуля памяти


Реферат: Методы размещения и трассировки печатных плат на примере модуля памяти

Содержание

ВВЕДЕНИЕ................................................................................................................ 2

1. ВЫБОР СЕРИИ И ТИПОВ МИКРОСХЕМ И РАСПРЕДЕЛЕНИЕ ЭЛЕМЕНТОВ ФУНКЦИОНАЛЬНОЙ СХЕМЫ ПО КОРПУСАМ............................................. 3

1.1. Выбор физических элементов для реализации схемы и обзор параметров выбранной серии..................................................................................................... 3

1.2. Распределение элементов функциональной схемы по корпусам............ 4

2. РАЗМЕЩЕНИЕ ЭРЭ НА МОНТАЖНОМ ПРОСТРАНСТВЕ..................... 6

3. ТРАССИРОВКА МОНТАЖНЫХ СОЕДИНЕНИЙ...................................... 10

3.1 Трассировка с помощью алгоритма Прима............................................... 10

3.2 Трассировка по алгоритму Краскала.......................................................... 12

3.3 Трассировка классическим волновым алгоритмом Ли............................ 14

ЗАКЛЮЧЕНИЕ....................................................................................................... 15

ЛИТЕРАТУРА......................................................................................................... 16


ВВЕДЕНИЕ

Основные принципы изготовления и применения печатных схем стали известны в начале ХХ века, однако промышленный выпуск печатных схем и плат был организован лишь в начале 40-х годов.

С переходом на микроэлектронные элементы, резким уменьшением размеров и возрастанием быстродействия схем первое место занимают вопросы обеспечения постоянства характеристик печатных проводников и взаимного их расположения. Значительно усложнились задачи проектирования и оптимального конструирования печатных плат и элементов.

Печатные платы нашли широкое применение в электронике, позволяя увеличить надёжность элементов, узлов и машин в целом, технологичность (за счёт автоматизации некоторых процессов сборки и монтажа), плотность размещения элементов (за счёт уменьшения габаритных размеров и массы), быстродействие, помехозащищённость элементов и схем. Печатный монтаж – основа решения проблемы компановки микроэлектронных элементов. Особую роль печатные платы играют в цифровой микроэлектронике. В наиболее развитой форме (многослойный печатный монтаж) он удовлетворяет требования конструирования вычеслительных машин третьего и последующих поколений.

При разработке конструкции печатных плат проектеровщику приходится решать схемотехнические (минимизация кол-ва слоёв, трассировка), радиотехнические (расчёт паразитных наводок), теплотехнические (температурный режим работы платы и элементов), конструктивные (размещения), технологические (выбор метода изготовления) задачи.

В данном курсовом проекте при разработке печатной платы мы попытались показать методы решения лишь схемотехнических и технологических задач.


1. ВЫБОР СЕРИИ И ТИПОВ МИКРОСХЕМ И РАСПРЕДЕЛЕНИЕ ЭЛЕМЕНТОВ ФУНКЦИОНАЛЬНОЙ СХЕМЫ ПО КОРПУСАМ.

1.1. Выбор физических элементов для реализации схемы и обзор параметров выбранной серии.

Выбор серии интегральных микросхем для реализации блока оперативной памяти в первую очередь продиктован скоростью работы такого блока. В этом отношении микросхемы серии ТТЛШ (транзисторно–транзисторная логика со структурой Шотки) наиболее предпочтительны.

Электрическая функциональная схема блока оперативной памяти содержит сорок пять элементов 2И-НЕ, три элемента 3И-НЕ.

Для реализации блока оперативной памяти выбираем следующие типы микросхемы:
две микросхемы серии КР1531ЛА3 (корпус содержит 4 элемента 2И-НЕ);
две микросхемы серии КР1531ЛА4 (корпус содержит 3 элемента 3И-НЕ);

Основные параметры микросхем ТТЛШ серии КР1531:
— напряжение питания Uип = 5В ± 10%;
— выходное напряжение низкого уровня не более U0вых = 0,5В;
— выходное напряжение высокого уровня не менее U1вых = 2,5В;
— время задержки распространения  tзд.р. = 4,5нс;
— потребляемая мощность Pпот = 4мВт;
— сопротивление нагрузки Rн = 0,28кОм;


1.2. Распределение элементов функциональной схемы по корпусам.

Распределение четырёх элементов 2И-НЕ составляющих триггер очевидно:


 


Поскольку внутренних связей в таком элементе гораздо больше чем внешних, то очевидно их помещение в одну микросхему КР1531ЛА3.

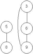
Для распределения девяти оставшихся элементов 2И-НЕ по трём корпусам микросхем КР1531ЛА3 вычерчиваем часть электрической функциональной схемы блока оперативной памяти, содержащую эти элементы, и строим соответствующий ей граф G1 (рис.1.1).



Рис. 1.1

а) Выбираем базовую вершину – вершину имеющую максимальное количество связей. Поскольку в нашем случае все вершины имеют одинаковое количество связей, выбираем любую из них, например вершину Х1.

б) Определяем множество вершин подключённых к базовой: {4;7}
Для каждой из вершин рассчитываем функционал по формуле:

Li=aij-pij

где aij – число связей вершины;
pij – число связей с базовой вершиной;

В нашем случае функционал равен:

L7=L4=2-1=1;

Для объединения с базовой вершиной необходимо выбрать вершину с наименьшим функционалом. Поскольку в нашем случае вершины Х7 и Х4 равнозначны, то объединяем их с Х1. Поскольку мощность блока (4 элемента 2И-НЕ в одной микросхеме) ещё не достигнута, а все оставшиеся вершины идентичны по отношению к вершине Х(1+4+7), дополним блок вершиной Х2, объединив их в одну микросхему. Получим граф:


Теперь, в качестве базовой изберём вершину Х3. Рассуждая так же как и в предыдущем шаге объединим в одну микросхему вершины Х3, Х6, Х9 и Х5.  Вершину Х8 придётся поместить в отдельную микросхему.

Проанализировав полученные результаты можно увидеть, что для компоновки элементов Х1-Х9 необходимо 3 микросхемы КР1531ЛА3, причём в последней из них будет задействован лишь один элемент. В нашем случае рациональней будет уменьшить мощность блока до трёх. В этом случае количество необходимых микросхем не изменится, а элементы распределятся следующим образом: Х(1+4+7), Х(2+5+8), Х(3+6+9). Окончательно примем к проектированию именно такой вариант компоновки.

Три элемента 3И-НЕ поместим в одну микросхему КР1531ЛА3 поскольку в этом случае мощность блока (кол-во элементов в микросхеме) равна количеству элементов в функциональной схеме.

На основании полученных результатов строим электрическую принципиальную схему блока оперативной памяти (см. графическую часть).


2. РАЗМЕЩЕНИЕ ЭРЭ НА МОНТАЖНОМ ПРОСТРАНСТВЕ.

В соответствии с заданием монтажное пространство — печатная плата 95х130 мм. Для размещения микросхем DD1—DD13 и разъема Х1 разобьем монтажное пространство на 14 посадочных мест, из которых место К14 отведем под разъем (рис.2.1).

К1 К2 К3 К4
К5 К6 К7 К8
К9 К10 К11 К12
К13 К14

                                                                Рис. 2.1

Составим матрицу расстояний для приведённой платы:

К1 К2 К3 К4 К5 К6 К7 К8 К9 К10 К11 К12 К13 К14
К1 0 1 2 3 1 2 3 4 2 3 4 5 3 4
К2 1 0 1 2 3 1 2 3 3 2 3 4 4 3
К3 2 1 0 1 3 2 1 2 4 3 2 3 4 3
К4 3 2 1 0 4 3 2 1 5 4 3 2 4 3
К5 1 2 3 4 0 1 2 3 1 2 3 4 2 3
К6 2 1 2 3 1 0 1 2 2 1 2 3 3 2
К7 3 2 1 2 2 1 0 1 3 2 1 2 3 2
К8 4 3 2 1 3 2 1 0 4 3 2 1 3 2
К9 2 3 4 5 1 2 3 4 0 1 2 3 1 2
К10 3 2 3 4 2 1 2 3 1 0 1 2 2 1
К11 4 3 2 3 3 2 1 2 2 1 0 1 2 1
К12 5 4 3 2 4 3 2 1 3 2 1 0 2 1
К13 3 4 4 4 2 3 3 3 1 2 2 2 0 1
К14 4 3 3 3 3 2 2 2 2 1 1 1 1 0

Приведём полный граф электрической принципиальной схемы (рис. 2.2). Элементы 1…12 – микросхемы КР1531ЛА3, элемент 13 – микросхема КР1531ЛА4, а элемент 14 – разъём.   


                                                                        рис. 2.2.

Матрица смежности этого графа имеет вид:

К1 К2 К3 К4 К5 К6 К7 К8 К9 К10 К11 К12 К13 К14
К1 1 1 1 1 0 0 1 0 0 1 0 0 0 2
К2 1 1 1 0 1 0 0 1 0 0 1 0 0 2
К3 1 1 1 0 0 1 0 0 1 0 0 1 0 2
К4 1 0 0 1 1 1 1 0 0 1 0 0 0 2
К5 0 1 0 1 1 1 0 1 0 0 1 0 0 2
К6 0 0 1 1 1 1 0 0 1 0 0 1 0 2
К7 1 0 0 1 0 0 1 1 1 1 0 0 0 2
К8 0 1 0 0 1 0 1 1 1 0 1 0 0 2
К9 0 0 1 0 0 1 1 1 1 0 0 1 0 2
К10 1 0 0 1 0 0 1 0 0 1 0 0 3 0
К11 0 1 0 0 1 0 0 1 0 0 1 0 3 0
К12 0 0 1 0 0 1 0 0 1 0 0 1 3 0
К13 0 0 0 0 0 0 0 0 0 3 3 3 1 3
К14 2 2 2 2 2 2 2 2 2 0 0 0 3 1

Для размещения корпусов микросхем на печатной плате воспользуемся последовательным алгоритмом размещения:

1) Устанавливаем в какую-либо позицию любой из элементов.

2) Выбираем элемент для установки на текущем шаге. Для этого определяем коэффициент связности всех не установленных элементов с ранее установленными (по матрице смежности):

     (2.1)

где aij – число связей с ранее установленными элементами;
Vi – общее число связей элемента;

2) Выбираем элемент с максимальным коэффициентом связности Ф.

3) Пытаемся установить выбранный элемент в одну из незанятых позиций. Считаем для этой позиции DF по формуле:

        (2.2)

где aij – количество связей между i-м и j-м элементами;
rij – расстояние между элементами, берётся из матрицы расстояний;
fij – элемент матрицы весовых коэффициентов;

4) Повторяем пункт 3 для всех свободных позиций на печатной плате. Окончательно устанавливаем выбранный элемент в позицию с минимальным DF.

5) Повторяем пункты 2 - 4 пока не установим все элементы.

Произведём размещение элементов по вышеописанному алгоритму.

В нашем случае, поскольку все элементы равноправны, матрица весовых коэффициентов в формуле 2.2 будет единичной, поэтому этот параметр мы указывать не будем. В первую очередь установим разъём в позицию К14, т.к. его положение жёстко определено конструкторскими ограничениями.

Вычислим коэффициенты связности:
Ф1=Ф2=Ф3=Ф4=Ф5=Ф6=Ф7=Ф8=Ф9=2/7;
Ф10=Ф11=Ф12=0\6=0;
Ф13=3/12;

Выбираем элемент DD1. Поскольку позиции К10,К11,К12 и К13 равноценны с точки зрения минимума длинны связи с разъёмом, то установим DD1 в позицию К13.

Снова рассчитываем коэффициенты связности:
Ф2=Ф3=Ф4=Ф7=3/7;
Ф5=Ф6=Ф8=Ф9=2/7;
Ф10=Ф11=Ф12=0\6=0;
Ф13=3/12;

Из наиболее связанных выбираем элемент DD2. Расчитываем DF для позиций К9, К10, К11 и К12 как наиболее подходящих для установки, поскольку DF для остальных позиций будет заведомо больше, и его расчёт не имеет смысла.
DF9=1*1+2*2=5;
DF10=DF11=DF12=1*2+2*1=4;

Устанавливаем элемент DD2 в позицию К10.

Снова рассчитываем коэффициенты связности:
Ф3=4/7;
Ф4=Ф7
=Ф5=Ф6=3/7;
Ф8=Ф9=2/7;
Ф10=Ф11=
1/6;
Ф12=0\6=0;
Ф13=3/12;

Из наиболее связанных выбираем элемент DD3. Рассчитываем DF для позиций К9 и К11:
DF9=1*1+1*1+2*2=6;
DF11=1*2+2*1=4;

Устанавливаем элемент DD3 в позицию К11.

Снова рассчитываем коэффициенты связности:
Ф4=Ф5=Ф6=Ф7=Ф8=Ф9=3/7;
Ф12
=Ф10=Ф11=1/6;
Ф13=3/12;

Из наиболее связанных выбираем элемент DD4. Рассчитываем DF для позиций К9 и К12:
DF9=1*1+0*1+0*2+2*2=5;
DF12=1*2+0*2+0*1+2*1=4;

Устанавливаем элемент DD4 в позицию К12.

Аналогичные расчёты проводим до тех пор, пока не расставим все элементы по позициям печатной платы. В результате расчётов получаем следующее размещение микросхем на плате:

DD10 DD11 DD13 DD12
DD9 DD8 DD6 DD7
DD5 DD2 DD3 DD4
DD1 XS1

                                                                Рис. 2.3

Сборочный чертёж получившейся печатной платы приводится в графической части.


3. ТРАССИРОВКА МОНТАЖНЫХ СОЕДИНЕНИЙ.

3.1 Трассировка с помощью алгоритма Прима

На основании полученных ранее данных и требований задания проведем трассировку общего провода цепи питания печатной платы блока оперативной памяти методом Прима. Для этого приведём необходимый участок печатной платы в сетке с шагом 5. Вывод 1 разъёма должен быть соединён с выводами 7 DD1-DD13. Пронумеруем точки соединений от 1 до 14.

Å Å Å Å Å Å Å Å
Å Å Å Å Å Å Å Å
Å Å Å Å Å Å Å Å
Å DD10 Å Å DD11 Å Å DD13 Å Å DD12 Å
Å Å Å Å Å Å Å Å
Å Å Å Å Å Å Å Å
Å 5 Å Å 6 Å Å 11 Å Å 12 Å
Å Å Å Å Å Å Å Å
Å Å Å Å Å Å Å Å
Å Å Å Å Å Å Å Å
Å DD9 Å Å DD8 Å Å DD6 Å Å DD7 Å
Å Å Å Å Å Å Å Å
Å Å Å Å Å Å Å Å
Å 4 Å Å 7 Å Å 10 Å Å 13 Å
Å Å Å Å Å Å Å Å
Å Å Å Å Å Å Å Å
Å Å Å Å Å Å Å Å
Å DD5 Å Å DD2 Å Å DD3 Å Å DD4 Å
Å Å Å Å Å Å Å Å
Å Å Å Å Å Å Å Å
Å 3 Å Å 8 Å Å 9 Å Å 14 Å
Å Å
Å Å
Å Å
Å DD1 Å
Å Å
Å Å
Å 2 Å 1
Å Å Å Å Å Å Å Å Å Å Å Å Å Å

Рис. 3.1

Для эскиза платы (рис. 3.1) составим матрицу расстояний:

1

2

3

4

5

6

7

8

9

10

11

12

13

14

1

0 10 21 31 43 36 22 12 22 34 45 61 53 31

2

10 0 13 24 35 44 33 22 31 43 55 64 52 40

3

21 13 0 13 24 33 22 11 20 31 42 51 40 29

4

31 20 13 0 13 22 11 22 31 20 31 40 29 40

5

13 11 24 13 0 11 22 31 40 31 20 29 40 51

6

41 22 33 22 11 0 13 21 20 33 24 22 13 32

7

50 31 22 11 22 13 0 13 29 42 33 14 24 41

8

22 13 11 22 31 21 13 0 11 24 13 31 22 25

9

24 20 20 31 40 20 29 11 0 13 22 39 31 34

10

34 31 31 20 31 33 42 24 13 0 13 29 20 45

11

45 24 42 31 20 24 33 13 22 13 0 11 11 37

12

61 42 51 40 29 22 14 31 39 29 11 0 13 52

13

53 33 40 29 40 13 24 22 31 20 11 13 0 13

14

10 12 29 40 51 32 41 25 34 45 37 52 13 0

Трассировка по алгоритму Примма заключается в следующей последовательности:

1)    Берём любую точку в качестве стартовой.

2)    Задаёмся ограничением на локальную степень вершины (кол-во возможных связей).

3)    По матрице расстояний находим точку наиболее близкую к любой из уже задействованых точек.

4)    Если у обеих вершин ограничение локальной степени недостигнуто, проводим связь между двумя найдеными точками и ‘зачёркиваем’ в матрице расстояний столбец соотв. этой вершине, иначе возвращаемся к п. 3.

5)    Повторяем пункты 3-4 пока все точки не будут соеденены (все столбцы ‘вычеркнуты’).

Проведём трассировку методом Примма ‘корпусной’ цепи питания.

В качестве стартовой берём точку 1 и ‘вычёркиваем’ столбец 1. Локальную степень вершины принимаем равной 4. Самая короткая связь по матрице расстояний у неё с тчк. 2. Проводим связь. Рассматриваем две строки – 1-ю и 2-ю. Самая короткая связь между 1 и 8, между которыми и проводится следующая связь. ‘Вычёркивается’ столбец 2. Теперь рассматриваем три строки – 1-ю, 2-ю, и 8-ю. Наименьшее расстояние имеется между 8 и 3, 8 и 9. Проводим эти связи ‘вычёркивая’ соотв. столбцы. И т.д.
Повторяем до тех пор, пока все точки не будут соеденены (т.е. все столбцы матрицы смежности будут ‘вычеркнуты’).

Полученый результат виден на рис. 3.1.


3.2 Трассировка по алгоритму Краскала

Алгоритм Краскала заключается в следующей последовательности:

1)    Выписываем все возможные рёбра.

2)    Упорядочиваем получившийся список рёбер по длинне.

3)    Проводим связь первого ребра из списка.

4)    Из списка рёбер выбираем следующее по очереди ребро.

5)   Если обе вершины выбраного ребра уже есть в списке проведённых ребер, вычёркиваем это ребро из списка и возвращаемся к п. 4.
Если же одна (и только одна!) из вершин выбраного ребра уже участвует в связи (присутствует как вершина в списке проведённых рёбер), то проводим это ребро, иначе  возвращаемся к п. 4.

6)    Повторяем пункты 4-5 до тех пор, пока список рёбер не опустеет.

Проведём трассировку цепи питания +5В.

Выпишем список всех возможных рёбер, сразу откидывая ребро, если в списке уже есть ребро с такими же вершинами.

1-2       1-3       1-4       1-5       1-6       1-7       1-8       1-9       1-10     1-11     1-12     1-13     1-14

                        2-3       2-4       2-5       2-6       2-7       2-8       2-9       2-10     2-11     2-12     2-13     2-14

                                    3-4       3-5       3-6       3-7       3-8       3-9       3-10     3-11     3-12     3-13     3-14

                                                4-5       4-6       4-7       4-8       4-9       4-10     4-11     4-12     4-13     4-14

                                                            5-6       5-7       5-8       5-9       5-10     5-11     5-12     5-13     5-14

                                                                        6-7       6-8       6-9       6-10     6-11     6-12     6-13     6-14

                                                                                    7-8       7-9       7-10     7-11     7-12     7-13     7-14

                                                                                                8-9       8-10     8-11     8-12     8-13     8-14

                                                                                                            9-10     9-11     9-12     9-13     9-14

                                                                                                                        10-11   10-12   10-13   10-14

                                                                                                                                    11-12   11-13   11-14

12-13    12-14

13-14

Упорядочим этот список в порядке увеличения длинны рёбер. Полученый список запишем построчно:

5-6       6-11     11-12   4-7       7-10     10-13   3-8       8-9       9-14     1-2       2-3       3-4       4-5

7-8       6-7       9-10     10-11   12-13   13-14   5-11     6-12     4-7       7-13     3-9       8-14     2-4

3-5       6-8       9-11     12-14   1-8       1-9       1-14     3-7       5-7       4-6       4-8       6-10     7-11

9-7       8-10     11-13   10-12   10-14   9-13     2-8       2-7       3-6       5-8       8-11     6-9       9-12

11-14   5-10     6-13     4-9       7-14     7-12     4-11     3-10     8-13     2-9       2-14     3-13     4-14

4-12     5-13     1-4       1-7       1-10     1-13     1-5       1-6       2-13     3-11     5-9       8-12     6-14

2-5       2-6       2-11     3-12     5-14     2-12                                                                                        

Проводим первую связь 5-6. Следующее ребро имеющее общую точку – 6-11. Проводим и его. Проводим следующее ребро 11-12.

Следующее проведённое нами ребро 4-5, затем 4-7, 7-10 и 10-13. Теперь 3-4 и 3-8, 8-9 и 9-14.
Затем проводим рёбро 2-3 и наконец 1-8.

Цепь разведена, поскольку все возможные вершины уже присутствуют в списке проведённых рёбер. Рисунок проведённых дорожек приведёна на рис.3.2.

Å 5 Å Å 6 Å Å 11 Å Å 12 Å
Å Å Å Å Å Å Å Å
Å Å Å Å Å Å Å Å
Å DD10 Å Å DD11 Å Å DD13 Å Å DD12 Å
Å Å Å Å Å Å Å Å
Å Å Å Å Å Å Å Å
Å Å Å Å Å Å Å Å
Å 4 Å Å 7 Å Å 10 Å Å 13 Å
Å Å Å Å Å Å Å Å
Å Å Å Å Å Å Å Å
Å DD9 Å Å DD8 Å Å DD6 Å Å DD7 Å
Å Å Å Å Å Å Å Å
Å Å Å Å Å Å Å Å
Å Å Å Å Å Å Å Å
Å 3 Å Å 8 Å Å 9 Å Å 14 Å
Å Å Å Å Å Å Å Å
Å Å Å Å Å Å Å Å
Å DD5 Å Å DD2 Å Å DD3 Å Å DD4 Å
Å Å Å Å Å Å Å Å
Å Å Å Å Å Å Å Å
Å Å Å Å Å Å Å Å
Å 2 Å
Å Å
Å Å
Å DD1 Å
Å Å
Å Å
Å Å
Å Å Å Å Å Å Å Å Å Å Å Å Å Å

Рис. 3.2

3.3 Трассировка классическим волновым алгоритмом Ли

Проведем печатный проводник, соединяющий DD11 (вывод 6), DD13 (вывод 4) на стороне монтажа печатной платы. Для этого вычерчиваем часть монтажного поля, содержащую ИМС DD11 и DD13 (рис.3.1).

12 11 10 9 10 9 10 11 12 13 14 15 16 17 18 19 20 21 22 23
11 10 9 8 9 8 9 10 11 12 13 14 15 16 17 18 19 20 21 22
10 9 8 7 8 7 8 9 10 11 12 13 14 15 16 17 18 19 20 21
9 8 7 6 Å 6 7 Å 11 12 13 14 15 Å 17 18 Å 20 21 22
8 7 6 5 Å 5 6 Å 12 13 14 15 16 Å 18 19 Å 21 22 23
7 6 5 4 Å 4 5 Å 13 14 15 16 17 Å 19 20 Å 22 23 24
6 5 4 3 Å 3 4 Å 14 15 16 17 18 Å 20 21 Å 23 24 25
5 4 3 2 Å 2 3 Å 15 16 17 18 19 Å 21 22 Å 24 25 26
4 3 2 1 Å 1 2 Å 16 17 18 19 20 Å 22 23 Å 25 26 27
5 4 3 2 Å 2 3 Å 17 18 19 20 21 Å 23 24 Å 26 27 28

Рис.3.3

Наименьшая ‘длинна’ волны подходящей к выводу 4 DD13 составляет 18. Именно по этому пути и проложим проводник соеденяющий выводы 6 и 4 DD11 и DD13 соотв.


ЗАКЛЮЧЕНИЕ

Можно наметить перспективы развития конструирования и технологии производства ЭВА и РЭС. Естественно ожидать совершенствование уже известных и появление принципиально новых методов. Их реализация будет осуществляться с помощью ЭВМ, поскольку использование ЭВМ позволяет значительно уменьшить время на разработку конструкций любой сложности, а также повысить качество и снизить цену. Уже сейчас существуют программы (PCAD, Accel EDA, ORCAD и др.), с помощью которых успешно решаются задачи по проектированию печатных плат.


— 16 —

ЛИТЕРАТУРА

1.   Б.Н.Деньдобренко, А.С.Малика «Автоматизация конструирования РЭА. Учебник для ВУЗов». — М.: Высшая школа, 1980.

2.   «Конструирование и технология печатных плат. Учеб. пособие для ВУЗов». Под ред. А.Т.Жигалова. — М.: Высшая школа,1973.

3.   А.А.Яншин «Теоретические основы конструирования, технологии и надежности ЭВА. Учеб. пособие для ВУЗов». — М.: Радио и связь, 1983.

4.   «Системы автоматизированного проектирования в радиоэлектронике. Справочник». Под ред. И.П.Норенкова. — М.: Радио и связь, 1986.

5.   М.И.Богданович, И.Н.Грель, В.А.Прохоренко, В.В.Шалимо «Цифровые интегральные микросхемы. Справочник». — Мн.: Беларусь, 1991.

6.   «Печатные платы в конструкциях РЭС. Учеб. пособие по курсу «Конструирование радиоэлектронных устройств» для студентов специальности «Проектирование и производство РЭС» /Под ред. Ж.С.Воробьевой, Н.С.Образцова. — Мн.: БГУИР, 1999.




© 2009 РЕФЕРАТЫ
рефераты бесплатно