Реферат: Проектирование автоматического устройства
Реферат: Проектирование автоматического устройства
Спроектировать на базе интегральных логических элементов (далее ИЛЭ) серии К155 заторможенный мультивибратор, автоколебательный мультивибратор, электронный ключ на базе высокочастотного транзистора, выбрать управляющий триггер серии К155 и двоичный счетчик на триггерах, комбинационные схемы на базе ИЛЭ серии К155.
|
Автоколебательный мультивибратор |
Заторможенный мультивибратор |
Счётчик |
|
TU2, мкс. |
UПФ/UЗФ |
Т |
tU2 мкс. |
UПФ/UЗФ |
K кол - во импульсов |
|
6 |
0.79 |
12 |
1 |
0.79 |
60 |
|
Электронный ключ на транзисторе |
|
t , не менее мкс. |
U, В |
E В |
t, град. max |
t , мкс. |
C ключа пФ |
|
384 |
5 |
1,5 |
60 |
3 |
10 |
tU1 — длительность выходных импульсов мультивибратора.
UПФ — напряжение переднего фронта импульса._
UЗФ — напряжение заднего фронта импульса.
tU2 — длительность выходного импульса заторможенного мультивибратора.
К — коэффициент пересчёта счётчика.
t ---длительность импульса на выходе ключа.
U — амплитуда выходного импульса.
E — напряжение базового смещения.
t град max---максимальная температура окружающей среды.
t ---фронт выходного импульса.
C ---ёмкость нагрузки ключа.
Uо.выпр. - номинальное выпрямленное напряжение выпрямителя (входное напряжение стабилизатора);
Iо.max.выпр.- максимальный ток выпрямителя; max
Iо.min.выпр.- минимальный ток выпрямителя;
amin- относительное отклонение напряжения в сторону понижения;
amax- относительное отклонение напряжения в сторону повышения;
Kп.выпр- коэффициент пульсации напряжения на выходе выпрямителя;
Kп.ф. - коэффициент пульсации напряжения на выходе сглаживающего фильтра должен быть в 10 раз меньше.
В структурную схему входят следующие функциональные блоки:
заторможенный мультивибратор ЗМ;
RS-триггер;
электронный ключ на биполярном транзисторе;
схема сопряжения ключа со схемой включения стабилизатора постоянного напряжения;
понижающий трансформатор;
выпрямитель;
сглаживающий фильтр;
стабилизатор компенсационного типа для питания автоколебательного мультивибратора;
автоколебательный мультивибратор на интегральных логических элементах (ИЛЭ);
двоичный суммирующий счетчик;
комбинационная схема КС1, определяющая какое количество импульсов должен подсчитать двоичный счетчик;
комбинационная схема КС2, управляющая передачей содержимого счетчика на выходную шину данных BD;
стабилизатор компенсационного типа для питания остальных цифровых схем устройства.
Принцип действия .
Автоматическое устройство 3 после включения должно сформировать питающие схемы напряжение и под управлением запускающего импульса сгенерировать последовательность прямоугольных импульсов в заданными параметрами. Количество импульсов задается параметром К счетчика. Результат работы устройства может быть выведен на схему индикации или на какое-либо исполнительное устройство через шину данных BD.
Устройство работает следующим образом. При включении автоматического устройства напряжение сети ~220 B подается на силовой понижающий трансформатор 5, выпрямляется выпрямителем 6, сглаживается фильтром 7 и подает на вход стабилизатора мультивибратора 8 и стабилизатора напряжения для питания всех цифровых микросхем устройства (блок 13). Напряжение питания подается на все блоки схемы, кроме мультивибратора. Запускающий импульс переводит RS-триггер управления 2 в нулевое состояние и гасит суммирующий двоичный счетчик 10 сигналом R и запускает заторможенный мультивибратор 1. Выходной сигнал RS-триггера открывает электронный ключ 3 на выходе которого появляется выходное напряжение равное нулю. Это напряжение с помощью устройства сопряжения 4 формирует сигнал включения стабилизатора мультивибратора 8. Автоколебательный мультивибратор 9 начинает генерировать последовательность прямоугольных импульсов с заданными параметрами, которые подсчитываются суммирующим двоичным счетчиком 10. Двоичный код счетчика анализируется комбинационной схемой КС1 (блок 11), и как только этот код станет равным заданному числу К, вырабатывается единичный управляющий сигнал, который переключает RS-триггер в нулевое состояние. При этом ключ закрывается, устройство сопряжения 4 формирует напряжение +2В, которое отключает стабилизатор напряжения 8 и мультивибратор, счетчик фиксируется в последнем состоянии, а результат счета через комбинационную схему КС2 (блок 12) выводятся на шину данных BD. В таком состоянии автоматическое устройство будет находиться до прихода следующего запускающего импульса.
Uо.выпр. - номинальное выпрямленное напряжение выпрямителя (входное напряжение стабилизатора);
Iо.max.выпр.- максимальный ток выпрямителя;max
Iо.min.выпр.- минимальный ток выпрямителя;
amin- относительное отклонение напряжения в сторону понижения;
amax- относительное отклонение напряжения в сторону повышения;
Kп.выпр- коэффициент пульсации напряжения на выходе выпрямителя;
Kп.ф. - коэффициент пульсации напряжения на выходе сглаживающего фильтра должен быть в 10 раз меньше.
1.Заторможенный мультивибратор с резистивно-емкостной обратной связью на элементах. И - НЕ
1.1 Общие сведения. Принцип действия. Методика расчёта.
Мультивибратор — это простой релаксационный генератор прямоугольных импульсов, к которым не предъявляют жёстких требований по параметрам. Используется положительная обратная связь. Есть два вида возбуждения : жёсткое и мягкое. При жёстком — оба плеча в одинаковом состоянии (нет генерации).
Заторможенный мультивибратор (далее, как ЗМ) предназначен для формирования прямоугольного импульса с заданной амплитудой и длительностью в ответ на один запускающий импульс.
ЗМ можно получать из соответствующих автоколебательных мультивибраторов (далее, как АМ) путем замены одной из ветвей резистивно-емкостной обратной связи цепью запуска.
Длительность импульса запуска, с одной стороны, должна быть достаточной для переключения ИЛЭ, т.е. больше суммарной задержки их переключения (t01зд или t10 зд). С другой стороны, длительности формируемого импульса tU. В противном случае мультивибратор во время действия запускающего импульса будет в неопределённом состоянии.
ЗМ с резистивно-емкостной обратной связью на ИЛЭ И-НЕ ТТЛ получается из АМ (рис.1.1) путём исключения, например, конденсатора С2, резистора R2 и диода VD2. При этом резистивно-емкостная обратная связь заменяется непосредственной связью выхода ИЛЭ DD1.2 с одним из входов ИЛЭ DD1.2. Запускающие импульсы отрицательной полярности с амплитудой Uвх »
Eвых, подаётся на свободный от триггерного включения вход ИЛЭ DD1.1. В исходном состоянии ИЛЭ DD1.1 и DD1.2 находятся в нулевом и едином состояниях соответственно. Под действием запускающего импульса (t=t ) логических элементов изменяют свои состояния на противоположные, времязадающий конденсатор начинает заряжаться через выход ИЛЭ DD1.1 и резистор R.
Напряжение Uвх2 на выходе ИЛЭ DD1.2 при этом экспоненциально изменяется от Emax, стремясь к нулю. Формирование рабочего импульса длительностью tU заканчивается при Uвх2 (tU)=U1n (t=t ), так как дальнейшее уменьшение входного напряжения приводит к увеличению выходного напряжения ИЛЭ DD1.2. При t > t2 в мультивибраторе развивается регенеративный процесс, по окончании которого ИЛЭ возвращается в исходное состояние, а напряжение Uвх2 уменьшается скачком от U1 n до (U1n - E1вых). Далее мультивибратор в два этапа возвращается в исходное состояние. Сначала конденсатор С разряжается через смещенный в прямом направлении диод VD, а затем, после запирания диода, конденсатор перезаряжается входным вытекающим током Iвх ИЛЭ DD1.2, а напряжение Uвх2 стремиться к значению U . Если пренебречь временем разряда С через диод VD, то
tB (R || R )* С* ln [ 10 +  ].
Длительность импульса равна:
tU2 = (R + R )*С * ln
Если период запускающих импульсов Т > tU + tB, то мультивибратор успеет восстановиться.
Для получения почти прямоугольной формы выходных импульсов заторможенного мультивибратора при Т >= tU + t B сопротивление времязадающего резистора R выбирается таким образом:
R < R1вх *[(I1вх * R1вх / U0n) - 1]
1.2 Расчёт заторможенного мультивибратора.
Произведём расчёт заторможенного мультивибратора на ИЛЭ И - НЕ серии К155(стандартной).
Основные параметры серии К155:
|
Параметры |
|
Параметры |
|
|
I1ВХ, mА |
- 0,8 |
R1ВХ, кОм |
10 |
|
I0ВХ, mА |
0 |
R0ВХ, кОм |
¥
|
|
E ,В |
4,2 |
R , Ом |
200 |
|
E ,В |
0 |
R , Ом |
0 |
|
U , В не менее
U ,В не более |
2,4
0,4 |
K, не менее
UВХ MAX, В |
8
5,5 |
|
U ,В |
1,5 |
UВХ MIN, В |
- 0,4 |
|
U ,В |
0,5 |
I MAX, mА |
10 |
|
U ,В |
1 |
f MAX, МГц |
10 |
| |
|
PПОТ, мВт, не более |
|
Проверяем условие:
R < R1ВХ*[(I 1ВХ * R1ВХ / U0П)-1]-1=666,7(Ом) (1.1)
Uпф/Uзф= R=752,38(Ом)
R не удовлетворяет условию (1.1)
Берем Uпф/Uзф=0,76 Þ
R=633,33(Ом)
Из шкалы номинальных значений берём R=620(Ом)
Найдём ёмкость конденсатора С:
tU2 = (R + R )*С * ln
С =  =
= =
=1,626*10 (Ф)
Выбираем С =1,5*10-9 (Ф)
Рассчитаем время восстановления мультивибратора:
tB (R || R )* С* ln [ 10 +  ] =
=(1,613*10 +5*10 )*1,5*10 *ln[10+ ] =
=1,383*10 (c)
Общая характеристика:
Резистор: R = 620 Ом, тип МЛТ,
номинальная мощность Р =.........Вт,
предельное напряжение -.........В
Конденсатор: С = 1,5 пФ, тип.......,
предельное напряжение -.........В.
2.Автоколебательный мультивибратор на базе
ИЛЭ И -НЕ.
2.1. Общие сведения. Принцип действия. Методика
расчёта.
Автоколебательный мультивибратор (далее АМ) генерирует последовательность прямоугольных импульсов с заданной длительностью, амплитудой и частотой повторения.
Рассмотрим методику проектирования АМ с перекрёстными резисторно - ёмкостными обратными связями на элементах И – НЕ. В состав мультивибратора входят: два инвертора на двухвходовых ИЛЭ И - НЕ DD1.1 и DD1.2, резисторы R1 и R2, конденсаторы C1 и C (рис.2.1).
При использовании m - входовых ИЛЭ И - НЕ ТТЛ (m -1) незадействованных входов подключается к источнику питающего напряжения через резистор 1 кОм или объединяются все m входов (при m 3), т.к. объединение входов при m > 3 приводит к снижению входных сопротивлений элементов (в m раз). При заземлении хотя бы одного из входов ИЛЭ будет постоянно находиться в единичном состоянии.
При работе мультивибратора в автоколебательном режиме инверторы DD1.1 и DD1.2 поочерёдно находятся в единичном и нулевом состояниях. Время пребывания инверторов в нулевом или единичном состоянии определяется временем заряда одного из конденсаторов С1 или С2. Если ИЛЭ DD1.1 находится в единичном состоянии, а DD1.2 в нулевом (t =0), то конденсатор С1 заряжен током, протекающим через выход ИЛЭ DD1.1 и резистор R1. Этот ток, как и входной ток ИЛЭ DD1.2,пренебрежимо мал и не оказывает существенного влияния на процесс заряда конденсатора. По мере заряда конденсатора C1, входное напряжение UВХ2 инвертора DD1.2 уменьшается по экспоненциальному закону с постоянной времени t
1 , стремясь к нулевому уровню. Когда напряжение UВХ2 достигнет порогового напряжения U , ниже которого дальнейшее уменьшение входного напряжения приводит к уменьшению выходного напряжения инвертора ТТЛ, в мультивибраторе развивается регенеративный процесс, при котором состояния элементов DD1.1 и DD1.2 изменяются на противоположные (t = t1). Скачкообразное уменьшение выходного напряжения UВЫХ1 вызывает уменьшение входного напряжения UВХ2, что приводит к быстрому разряду конденсатора C1, а затем к его перезаряду вытекающим током DD1.2 через резистор R1. Входное напряжение UВХ2 при этом возрастает до значения UВХ(t ), определяемого моментом окончания процесса заряда конденсатора C2 с постоянной времени t
2 в противоположной ветви мультивибратора (t= =t2).
Таким образом, процессы периодически повторяются, и на выходах ИЛЭ DD1.1 и DD1.2 формируется два изменяющихся в противофазе импульсных напряжения с длительностями t U1 и t U2.
Так как на протяжении всего времени заряда конденсатора С2 (С1) и перезаряда конденсатора С1(С2) ИЛЭ DD1.2 (DD1.1) должен находится в единичном состоянии, его входное напряжение UВХ2(UВХ1) не должно превышать порогового уровня U , следовательно, сопротивление времязадающего резистора R1 (R2) должно быть достаточно малым. При этом необходимо вычислить минимальное и максимальное значение резисторов R1 и R2.
Максимально допустимое значение резистора вычисляется по следующему неравенству:
R < R1ВХ *[( I1ВХ * R1ВХ / U ) - 1] - 1 (2.1)
Если при выборе сопротивления навесных резисторов R1 и R2 ограничиваться выражением (2.1), то при определённых условиях в мультивибраторе может наступить жёсткий режим возбуждения, когда после включения источника питающего напряжения оба инвертора оказываются в единичном состоянии. Для устранения такого режима необходимо выполнить условие:
R > R1ВХ * [( I1ВХ*R1ВХ / U - 1] - 1 (2.2)
При выполнении (2.2) рабочие точки обоих ИЛЭ оказываются на динамических участках передаточных характеристик и, следовательно, даже небольшое различие в коэффициентах усиления К приводит к одному из двух квазиустойчивых состояний, когда на выходе одного ИЛЭ устанавливается высокий уровень выходного напряжения, а на выходе другого — низкий. Самовозбуждение мультивибратора в этом случае будет мягким.
Длительности импульсов на выходе мультивибратора можно определить по следующим выражениям:
t (R1 + R1ВЫХ)*
С1*ln
t (R2 + R1ВЫХ)* С2* ln
Выходные импульсы рассматриваемого мультивибратора по форме близки к прямоугольным. Отношение амплитуд переднего и заднего фронтов выходного напряжения определяется соотношением:
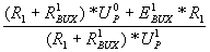
UПФ / UЗФ = R / (R + R )
где R = R1 для ИЛЭ DD1.1., R = R2 для ИЛЭ DD1.2.
Скважность генерируемых импульсов:
Q = 1 + tU2 / tU1
Если t =t ,то C =C .
Расчёт автоколебательного мультивибратора.
Произведем расчёт автоколебательного мультивибратора на ИЛЭ И - НЕ серии К155:
Проверяем условия :
R < R1ВХ*[(I 1ВХ * R1ВХ / U )-1] = 230,47(Ом)
R > R1ВХ*[(I 1ВХ * R1ВХ / U )-1]-1 = 666,67(Ом)
Uпф/Uзф= 0,79= R / (R + 200)
R - 0,79*R = 0,79*200
R = 752,38 (Ом)
Условия выполняются.
Выбираем из шкалы номинальных значений R = 750 Oм.
Рассчитаем ёмкость конденсаторов.
Т.к. t =T - t =12-6=6=t ,то мультивибратор симметричный, и C =C
C = =
= =6,76*10 (Ф)
Выбираем из шкалы номинальных значений
C = C = 6,8*10 Ф.
3.Электронный ключ на транзисторе.
3.1.Общие сведения. Принцип действия.
Электронный ключ –основной функциональный узел дискретной схемотехники для переключения токов или потенциалов на нагрузке. []
В импульсных устройствах очень часто требуется коммутировать (включать и выключать) электрические цепи. Эта операция выполняется бесконтактным способом с помощью транзисторных ключей.
Ключевые схемы используются для построения генераторов и формирователей импульсов , а также различных логических схем цифровой вычислительной техники. Ключ выполняет элементарную операцию инверсии логической переменной и называется инвертором.
В статическом режиме ключ находится в состоянии “включено” (ключ замкнут), либо в состоянии “выключено” (ключ разомкнут). Переключение ключа из одного состояния в другое происходит под воздействием входных управляющих сигналов : импульсов или уровней напряжения. Простейшие ключевые схемы имеют один управляющий вход и один выход.
Основу ключа составляет транзистор в дискретном или интегральном исполнении.
В зависимости от состояния ключ шунтирует внешнюю нагрузку большим или малым выходным сопротивлением. В этом и заключается коммутация цепи, производимая транзисторным ключом.
Основными параметрами ключа являются :
--быстродействие, определяемое максимально возможным числом переключений в секунду ; для интегральных ключевых схем оно составляет миллионы коммутаций ;
--длительность фронтов выходных сигналов ;
--внутренние сопротивления в открытом и закрытом состоянии ;
--потребляемая мощность ;
--помехоустойчивость, равная уровню помехи на входе, вызывающей ложное переключение ;
--стабильность пороговых уровней, при которых происходит переключение ;
--надежность работы в реальных условиях старения радиодеталей, изменения источников питания и т.д.
В ключевых схемах в общем случае используются все основные схемы включения транзисторов: с общей базой (ОБ), с общим коллектором (ОК), ключ-“звезда”, с общим эмиттером (ОЭ). Наибольшее применение получили транзисторные ключи по схеме с ОЭ.
Статические характеристики.
Поведение ключа в статическом режиме определяется выходными I и входными I характеристиками транзистора по схеме с ОЭ.
На выходных характеристиках выделяются три области, которые определяют режим отсечки коллекторного тока, активный режим и режим насыщения ключевой схемы.
Область отсечки определяется точками пересечения линии нагрузки R с самой нижней кривой семейства выходных характеристик с параметром I = - I . Этой области соответствует режим отсечки, при котором:
--транзистор закрыт, т.к. оба его перехода смещены в обратном направлении
U >0, U <0
--напряжение U = - E +I *R - E
--ток коллектора минимален и определяется обратным (тепловым) током коллекторного перехода I =I
--ток базы I = - I ,а ток эмиттера I =0
--сопротивление транзистора постоянному току наибольшее
R = 100 кОм.
Активная область расположена между нижней кривой коллекторного тока и линией насыщения. Этой области соответствует активный нормальный режим, при котором эмиттерный переход смещен в прямом направлении, а коллекторный -- в обратном:
U <0,U >0
Ток коллектора I =B*I +(B+1)I =B*I +I ; I =(B+1)I .
Где B – коэффициент усиления базового тока в схеме с ОЭ.
Область насыщения определяется точками пересечения линии нагрузки с линией насыщения. Этой области соответствует режим насыщения. При котором:
--транзистор открыт, т.к. оба его перехода смещены в прямом направлении
U <0,U <0
--напряжение U и U насыщенного транзистора составляет доли вольта
--максимальный ток транзистора (ток насыщения) I , практически не зависит от параметров транзистора
I = (3.1)
--сопротивление транзистора постоянному току минимально (десятки ом)
r =
Коллекторный ток насыщения достигается при граничном токе базы I = = . (3.2)
Глубина или степень насыщения транзистора определяется коэффициентом насыщения S
S= .
3.2.Расчёт транзисторного ключа.
Расчёт ключей производится с целью обеспечения статического и динамического режимов, при которых в заданном диапазоне происходит надёжное включение и выключение транзистора с требуемым быстродействием.
Выбор типа транзистора. Тип транзистора выбирается исходя из заданного быстродействия, необходимой амплитуды выходного напряжения, температурного диапазона работы.
Выбираем тип транзистора КТ315А.
I доп=100 мА
I мкА (при 20 )
f МГц
C пФ
B=55
Выбор источника коллекторного питания. Значение источника E выбирают по заданной амплитуде U выходного напряжения
E =(1,1 1,2)*U =(1,1 1,2)*5=5,5 6 (B),
При этом должно выполнятся неравенство
E U доп=20 (В),
Выбираем E =5,7 B.
Коллекторный ток насыщения. Величина тока I ограничена с двух сторон
20*I I I доп,
где I -обратный ток коллекторного перехода при t ;
I доп=допустимый ток коллектора в статическом режиме (в состоянии длительного включения).
Можно рекомендовать
I =0,8*I доп=0,8*100*10 =80*10 (А) (3.3)
Определение коллекторного сопротивления. Величина коллекторного сопротивления находится из (3.1),(3.3):
R  = = =71,25 (Ом)
Выбираем R =75 Ом.
Обратный ток коллекторного перехода определяется при максимальной температуре t по формуле
I =I (20 ) *2 ,
Где I (20 )-обратный ток коллекторного перехода при 20 .
Сопротивление резистора R выбирается из условия получения режима отсечки закрытого транзистора при максимальной температуре.
R = =9735 (Ом)
Выбираем R =9,1 (кОм)
Ток базы I . Базовый ток ,при котором транзистор заходит в режим насыщения, вычисляется по формуле (3.2) с учётом, что коэффициент усиления B=B
I = (мА)
Сопротивление резистора R .Для заданной амплитуды входного управляющего сигнала U =E величина сопротивления R рассчитывается по формуле
R =
Значение коэффициента насыщения S при заданной длительности t находим из формулы
S= ,где величина t определяется из формулы
t =t ,
t -cреднее время жизни неосновных носителей (дырок) в базе
t =  (с)
t =8,9*10 +55*75*(7+10)*10 (с)
S=
R = (кОм)
Выбираем R
Величина ускоряющей ёмкости C. В транзисторном ключе с ускоряющей ёмкостью C величина ёмкости находится из равенства
C= (пФ)
4.Триггер
Триггер-это запоминающий элемент с двумя устойчивыми состояниями, изменяющихся под воздействием входных сигналов. Как элемент ЭВМ, триггер предназначен для хранения бита информации, т.е. “0” или “1”.
Выбираем D-триггер К155ТМ2.
Триггером типа D наз. синхронный запоминающий элемент с двумя устойчивыми состояниями и одним информационным
D-входом.
Рассмотрим работу D-триггера на основе RS-триггера.Закон его функционирования приведен в таблице переходов
|
_
S |
_
R |
Q |
_
Q |
|
Н |
В |
В |
Н |
|
В |
Н |
Н |
В |
|
Н |
Н |
В |
В |
Триггер устанавливается в состояние лог. "1" при одновременной подаче напряжения низкого уровня на входы эл-тов D2.1, D2.3 независимо от уровня напряжения на счетном входе С. При напряжении низкого уровня на счетном входе установка триггера в состояние лог. “0” может быть произведена при подаче напряжения низкого уровня на вход элемента D2.1, при напряжении высокого уровня на счетном входе — при подаче напряжения низкого уровня на вход эл-та D2.3. Поэтому при построении суммирующего счетчика, импульсы первого подают на шестые элементы, а при построении вычитающего счетчика — на 4-ые элементы.
Установка триггера в состояние лог.”1” при напряжении низкого уровня на счетном входе осуществляется подачей напряжения низкого уровня на вход элемента D1.1, при напряжении высокого уровня на счетном входе и входах "установка 0" (R1, R2) — подачей напряжения низкого уровня на вход элемента D2.2
При одновременной подаче напряжения низкого уровня на входы элементов D1.1 и D2.2 установка в состояние “1” осуществляется независимо от уровня напряжения на счетном входе. Поэтому при записи в счетчик произвольного кода и при установке реверсивных счетчиков в состояние “0” следует подавать импульсы установки на оба входа установки 1 (S1, S2) одновременно или раздельно в зависимости от рода работы.
При напряжении высокого уровня на счетном входе триггер находится в одном из двух устойчивых состояний, а при напряжении низкого уровня — в промежуточном состоянии (основной триггер, элементы D1.1 и D2.1 в предыдущем состоянии, на входах элементов D1.2 и D2.2 напряжение высокого уровня).
Минимальная длительность импульсов установки триггера
t
и уст min= t0, 1зд р max+ t1, 0зд р max.
Минимальная длительность цикла работы одиночного триггера
tmin= 3 t0, 1зд р+2 t1, 0зд р.
Установка в “0” схем выполненных на триггерах JK и D серий ИС ТТЛ, осуществляется отрицательным импульсом, подаваемым на вход R. Запись кода ведется в 2 такта: сначала установка в “0”, затем запись “1” в соответствующий разряд.
При выполнении схем на ИС типа ТВ1 и использовании предварительной установки 1 и 0 на вход синхронизации необходимо подавать напряжение низкого уровня.
5.Счетчик
Счётчиком наз. типовой функциональный узел ЭВМ, предназначенный для счета входных импульсов. Счётчик относится к классу накапливающих схем и представляет собой цепочку T-триггеров, образующих память автомата с заданным числом устойчивых состояний. Разрядность счётчика равна числу счётных триггеров.Каждый входной импульс изменяет состояние счётчика,которое сохраняется до поступления следующего считываемого сигнала. Логические значения выходов счётчика Q отображают результат счёта в прмнятой системе счисления.
Счётчики разделяют на простые ( суммирующие и вычитающие ) и реверсивные.
В нашем устройстве используем двоично - десятичный четырёхразрядный синхронный реверсивный счётчик К155ИЕ7.
Этот счётчик имеет три основных режима :
параллельная асинхронная загрузка двоично - десятичного кода по входу DI ;
режим суммирования ;
режим вычитания .
В двух последних режимах счетные импульсы подают на различные входы : при вычитании на вход CD .
Выходы переноса в указанных режимах также разные : PU - при суммировании , PD - при вычитании .
Функциональные возможности счётчика демонстрируют временные диаграммы ( рис. ) ,где показан пример предварительной записи двоично - десятичного кода числа 7.
Соответственно на временной диаграмме импульс переполнения PU появляется между состояниями счётчика отвечающими числами “ 15 ” и “ 0 ”. Аналогично импульс PD формируется в паузе между “ 0 ” и “ 15 ”.
Схема каскадного объединения счётчика показано на рис . .
Схема и УГО счётчика К155ИЕ7 приведена на рис . .
Стабилизированный источник питания
Основными частями стабилизированного источника питания являются : силового трансформатора, схемы выпрямления, сглаживающего фильтра. Силовой трансформатор служит для повышения или понижения напряжения сети до необходимой величины. Схема выпрямления состоит из одного или нескольких вентилей, обладающих односторонней проводимостью тока и выполняющих основную функцию выпрямителя – преобразование переменного тока в постоянный. Сглаживающий фильтр предназначен для уменьшения пульсаций выпрямленного тока. Стабилизатор постоянного напряжения предназначен для поддержания автоматически с требуемой точностью постоянное напряжение при нагрузке при изменении дестабилизирующих факторов в обусловленных пределах.
Выбираем двухполупериодную схему выпрямителя со средней точкой.
Задаемся вспомогательными коэффициентами B =и D=.
Амплитуда обратного напряжения на вентиле U = =
4. Стабилизатора постоянного напряжения.
В выпрямителях величина постоянной составляющей может изменяться при колебаниях напряжения сети и при изменениях тока нагрузки. Для получения необходимой величины постоянного напряжения на сопротивлении нагрузки применяют стабилизаторы напряжения.
Стабилизатором постоянного напряжения называют устройство, поддерживающее автоматически и с требуемой точностью постоянное напряжение на нагрузке при изменении дестабилизирующих факторов в заданных пределах.
Основными параметрами стабилизатора являются:
Коэффициент стабилизации, представляющий собой отношение относительного изменения напряжения на входе к относительному изменению напряжения на выходе стабилизатора (при изменении тока нагрузки).
Где Uвх и Uвых — номинальные напряжения на входе и выходе стабилизатора; D
Uвх и D
Uвых — абсолютные изменения напряжений на входе и выходе стабилизатора.
Коэффициент стабилизации служит основным критерием для выбора схемы стабилизатора и оценки её параметров.
Выходное сопротивление, характеризующее изменение выходного напряжения при изменении тока нагрузки и неизменном входном напряжении,
Rвых = D
Uвых/D
Iн
Чем меньше Rвых тем лучше при этом уменьшается общее внутреннее сопротивление блока питания, что приводит к уменьшению падения напряжения на нём и способствует повышению устойчивости работы многокаскадных схем, питающихся от общего источника.
Коэффициент полезного действия, равный отношению мощности к нагрузке и номинальной входной мощности:
h
= UвыхIн/ UвхIвх
Относительная нестабильность входного напряжения d
u, характеризующая допустимое относительное отклонение стабилизированного напряжения.
Расчет стабилизатора постоянного напряжения:
Rд = Uвых/1,5мА=5/0,0015=3333,3
Uоп min = 2В
Iд min=1,5 мА
h219=140
R2=1*10-4
R1= Rд - R2= 3332,9996
|