Статья: Волновые поля и региональные годографы первых вступлений P- и S- волн
Статья: Волновые поля и региональные годографы первых вступлений P- и S- волн
А.И.Дубянский, Воронежский государственный университет
Одним
из активных в сейсмическом отношении районов Восточно-Европейской платформы
является Воронежский кристаллический массив. В настоящее время начаты
регулярные инструментальные наблюдения несколькими станциями за сейсмическим
режимом ВКМ. Уже первые результаты показали, что в регионе происходит большое
количество сейсмических событий тектонического и техногенного происхождения.
Интерпретация сейсмологических данных, одним из основных моментов которой
является определение таких важных характеристик как расстояние до эпицентра,
время наступления события в очаге и глубину очага [1,2,3],основывается на
соотношении времен регистрации волн различных типов, в частности годографов
первых вступлений Р и S-волн. Для точного определения этих параметров
необходимо учитывать региональные особенности волнового поля и использовать
региональные годографы названных волн. Для интерпретации местных событий
стандартные годографы мало пригодны т.к. при их расчете естественно не учтена
специфика геологического строения земной коры региона.
При
построении региональных годографов необходимо выяснить в первую очередь
характер волновой картины первых вступлений, то есть определить области
прослеживания волн и их динамические параметры. Анализ волнового поля первых
вступлений продольных и поперечных волн и построение региональных годографов
этих волн выполнены по материалам глубинных сейсмических исследований на
территории ВКМ [4]. Методика этих работ была основана на использовании энергии
промышленных взрывов, проводимых в карьерах КМА и в Павловском гранитном
карьере. Регистрация упругих волн осуществлялась вдоль профилей, радиально
расходящихся от каждого из карьеров. Шаг по профилю записывающих станций
составлял 5-10км, длина расстановки одной станции - 750м. Регистрирующая
аппаратура - "Тайга-1" и "Тайга-2". Длина каждого из
профилей достигала 300-320км.
Использовались
в основном вертикальные сейсмоприемники с собственной частотой 5Гц.
В
результате полевых наблюдений, последующей обработки и интерпретации оценены
характеристики волнового поля продольных и поперечных волн, построены
скоростные модели и сейсмические разрезы земной коры вдоль 18 профилей. Эти
профили пересекают практически все крупные структурно-формационные зоны
докембрийского фундамента ВКМ, каждая из которых имеет свои характерные
особенности строения земной коры и верхов мантии. Все это свидетельствует о
достаточной представительности имеющегося сейсмического материала.
В
связи с необходимостью построения региональных годографов рассмотрим
характерные особенности волновой картины вступлений Р и S-волн, связанные с
особенностями строения земной коры.
По
кинематическим и динамическим признакам годографы первых вступлений продольных
волн в интервале расстояний от 0 до 300км можно разделить на четыре фрагмента.
Первый из них (начальная часть годографа) характеризуется, как правило,
закономерным увеличением времени прихода и уменьшением амплитуд колебаний, что
хорошо совпадает с теоретическими годографами рефрагированных волн,
рассчитанными для линейного закона изменения скорости с глубиной (рис.1). Все
это говорит о том, что в начальной части годографа первых вступлений следится
рефрагированная волна Рg [4]. Величина интервала прослеживания этой волны на
разных профилях различна и колеблется от 70-80км до 110-120км. Ее кажущаяся
скорость, которая возле пункта взрыва составляет 5.8-6.1км/с, постепенно
увеличивается с удалением от источника и в конце интервала достигает 6.15-6.40
км/с. Представлена волна Рg, как правило, двухфазным импульсом с видимой
частотой 7-14 Гц, относительная интенсивность которого меньше, чем у регулярных
колебаний последующих волн.
Во
втором интервале, ширина которого составляет 30-40км, отмечается регулярное
уменьшение кажущейся скорости волны, выходящей в первые вступления. Наблюденные
годографы пересекают теоретические, рассчитанные для рефрагированных волн,
амплитуда колебаний минимальная и быстро затухает с расстоянием. На рис.1
приводятся динамические годографы первых волн, которые отчетливо показывают
уменьшение кажущейся скорости в интервале годографа 115-140 км от пункта
взрыва, обозначенного Рd, а также резкое уменьшение интенсивности колебаний на
этом участке. В правой части годографа волны Рg кажущаяся скорость составляет
6.49км/с, а для волны Рd - 6 км/с.
В
третьем интервале первых вступлений на расстояниях от 100 до 180-200км, иногда
с запаздыванием во времени порядка 0.3-0.7с, регистрируются колебания,
амплитуды которых в начальной части интервала в несколько раз превышает
амплитуду волны Рd (рис.1).

Рис.1.
Динамические годографы волн, выходящих в первые вступления: 1 - наблюденные
динамические годографы; 2 - теоретические годографы, рассчитанные для линейного
изменения скорости с глубиной (Vo=6 км/c, значения градиента скорости приведены
на рисунке). Масштаб времени редуцирован со скоростью редукции 6 км/с.

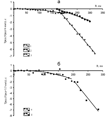
Рис.2.
Региональные годографы Р-волн (а) и S-волн (б): 1 - волна Рg; 2 - волна Ротр М;
3 - волна Рn; 4 – волна Sg; 5 - волна Sn.
Четвертый
интервал, начало которого приходится на 180-200км от пункта взрыва,
характеризуется первыми вступлениями двух типов. Первый тип представлен
малоинтенсивной 3-4х фазной рефрагированной волной Рn с видимой частотой 5-10
Гц. Ее кажущаяся скорость на разных профилях составляет 7.95-8.3км/с. В
пределах рассматриваемых интервалов расстояний (до 300км)не происходит заметное
изменение V*, за исключением профиля Губкин-Павловск, где с расстояния 278км
начинает следиться волна Pn1 с кажущейся скоростью 9.5км/с. Второй тип
вступлений отмечается тогда, когда в силу специфических особенностей строения
переходной зоны кора-мантия, волна Pn не регистрируется. В этом случае в первые
вступления выходят интенсивные закритические отражения от разделов Конрада или
Мохо с кажущейся скоростью порядка 7.0км/с.
Моделирование
волнового поля позволило определить возможную схему образования названных волн,
следящихся в первых вступлениях. Построенные в результате интерпретации
сейсмических материалов скоростные модели по профилям ГСЗ имеют, как правило, в
верхней своей части слой мощностью 6-11км, в котором отмечается линейное
увеличение скорости с глубиной. Ниже этого слоя происходит или резкое
уменьшение градиента скорости или выделяется волновод. Рефрагированная волна
Рg, достигая слой с меньшим градиентом скорости или волновода, отбрасывается
вниз и перестает прослеживаться в первых вступлениях. т.е. образуется зона
тени. Зона отсутствия волны Рg заполняется дифрагированной волной Рd или
отраженными волнами от внутрикоровых границ. Судя по значениям кажущейся
скорости волны Рd (V*=6км/с) основную роль в формировании этого колебания
играют волны дифрагированные от области пересечения последним лучом границы
фундамент-осадочный чехол, по которой дифрагированная волна распространяется
как квазиголовная.
Как
уже отмечалось волна Рn имеет кажущуюся скорость порядка 8км/с, что указывает
на ее приуроченность к породам верхов мантии. Моделирование показало, что эта
волна распространяется вдоль границы Мохо как головная или
слаборефрагированная. В тех случаях, когда раздел корамантия представлен
переходным слоем с пластовой скоростью 7,15-7,70км/с волна Рn на границе М не
образуется. В зависимости от мощности этого слоя, т.е. от глубины границы, ниже
которой скорость возрастает до мантийных значений, волна Рn регистрируется с
некоторой временной задержкой или вообще отсутствует на рассматриваемых
удалениях взрыв-прибор (200-300км). В последнем случае в первые вступления
выходят закритические отражения от раздела М.
Поле
S-волн в целом аналогично по структуре волновому полю продольных колебаний. По
кинематическим и динамическим признакам первые вступления поперечных волн в
интервале от 0 до 300км разделяются на три области. В первой из них (0-120км)
регистрируются рефрагированные волны Sg, представленные, как правило,
двухфазным импульсом с видимой частотой от6 до 10Гц. Интенсивность этих
колебаний в два-три раза превышает интенсивность их продольных аналогов.
Кажущиеся скорости колеблются от 3,36-3,59км/с в начале годографа до
3,63-3,65км/с в конце. Во второй области (120-200км) первые вступления S-волн
представлены закритическими ветвями поперечных волн, отраженных от
внутрикоровых границ. В третьей области (200-300км) прослеживается волна Sn,
несущая информацию о скоростях в верхах мантии. Представлена эта волна
относительно слабым колебанием с видимой частотой 5-8Гц. Кажущаяся скорость
составляет в среднем 4,5км/с.
При
обработке записей сейсмологическими станциями без информации об эпицентральных
расстояниях практически невозможно определить природу волн, образующих первые
вступления, а эта информация содержится в соотношении времен прихода различных
волн. Поэтому представляется совершенно оправданным построение единых
региональных годографов Р и S- волн в интервале от 0 до 200км. Это
подтверждается также моделированием волнового поля, которое показало [5], что
годографы рефрагированных волн Рg и Sg при условии наличия градиента скорости в
слое от 0 до 30км, прослеживаются в первых вступлениях до 200км и хорошо
аппроксимируют как годографы собственно рефрагированных волн, так и
закритические правые ветви годографов отраженных волн, формирующих первые
вступления в интервале 120-200км от пункта взрыва. Резкое изменение
кинематических параметров годографов первых вступлений Р и S-волн в интервале
от 200 и до 300км, связанное с выходом волн Рn и Sn, делает необходимым
построение отдельных региональных годографов этих волн, а также закритической
ветви отраженной волны Ротр М.
Региональные
годографы всех рассматриваемых волн строились путем осреднения наблюденных
значений на базе в 10км и вычисления аппроксимирующей зависимости (рис.2).
Годографы волн Рg и Sg аппроксимировались параболой второй степени, а годографы
волн Рn, Sn и Ротр М - линейной зависимостью t(Х).
Полученные
годографы являются первым приближением к реальному волновому полю при нулевой
глубине гипоцентра. Эти годографы могут быть использованы как для первого этапа
интерпретации сейсмологических данных, так и для сравнения с результатами
решения прямой задачи для региональной скоростной модели ВКМ.
Список литературы
1.
Саваренский Е. Ф., Кирнос Д.П. Элементы сейсмологии и сейсмометрии. -М., 1955.
-543 с.
2.
Рихтер Ч.Ф. Элементарная сейсмология. -М., 1963. -670 с.
3.
Инструкция о порядке производства и обработки наблюдений на сейсмических
станциях единой системы сейсмических наблюдений СССР. -М., 1981. -272 с.
4.
Дубянский А.И. Глубинное строение Воронежского кристаллического массива по
данным взрывной сейсмологии: Автореф. дис. ... канд. геол.-минерал. наук. -Свердловск,
1984. -21 с.
5. Tarkov A.P., Basula I.P.,
Generalov V.G., Dubiausky A.I., Chernykh V.V. Composite travel times of seismic
waves and general velosity models of the Voronezh Shield crast and upper mantle
// Geophys J. R. astr. -Soc. 67. -1981. -P. 240-246.
|