рефераты бесплатно
рефераты бесплатно
Главная
Исторические личности
Журналистика
Зоология
Инвестиции
Информатика
История техники
Кибернетика
Коммуникация и связь
Косметология
Криминалистика
Криминология
Кулинария
Культура и искусство
Культурология
Международное публичное право
Международное частное право
Международные отношения
Менеджмент
Металлургия
Налогообложение
Наука и техника
Сельское лесное хозяйство и землепользование
Социальная работа
Социология и обществознание
Спорт и туризм
Строительство и архитектура
Таможенная система
Транспорт

Реферат: Глюкоза и сахароза


Реферат: Глюкоза и сахароза

ВУГЛЕВОДИ(САХАРИДИ)


МОНОСАХАРИДИ           ДИСАХАРИДИ              ПОЛІСАХАРИДИ


Гексози Альдози         Сахароза                Крохмаль

Целюлоза

         Глюкоза

        

              С6Н12О6       Кетози


Фруктоза

Вуглеводи — природні сполуки, які відіграють важливу роль у житті людини, тварин і рослин. Вони дуже поширені в природі, особливо в рослинному світі: 80 % сухої маси рослин становлять вуглеводи. Вуглеводи входять до складу їжі і є одним з найважливіших харчових продуктів людини. Потреба людини в енергії покривається при харчуванні за рахунок вуглеводів.

До вуглеводів відносять глюкозу, фруктозу, цукор (сахаро­зу), крохмаль, целюлозу тощо. Одні з них є основними про­дуктами їжі, інші (целюлоза) — основа для добування паперу, пластмас, волокон.

Назва «вуглеводи» запропонована на тій основі, що перші вивчені представники цього класу сполук за складом формаль­но розглядали як сполуки вуглецю з водою, наприклад С„НІ.-0., або 60-бН'О. Тепер відомо, що вуглеводи — це не гідрати вуглецю, але стара назва залишилася. Крім того, існують вугле­води з іншим співвідношенням С, Н й О.

Вуглеводи поділяють на моносахариди, дисахариди і поліса­хариди. Ознайомимося з найважливішими представниками вуглеводів.

Із моносахаридів найбільше значення має глюкоза, яку ще називають виноградним цукром. Глюкоза широко поширена в природі, вона міститься у великих кількостях у виноградному соку, меді, а також у спілих фруктах і ягодах. Це біла криста­лічна речовина, добре розчинна у воді, солодка на смак.

Глюкоза ( від грец.  солодкий) – дуже поширений у природі вуглевод групи моносахаридів. Молекулярна маса 180,16; безбарвні, солодкі на смак кристали, добре розчинні у воді. Оптично активна, обертає площину поляризованого світла праворуч. Як і всі моносахариди, має два оптичні антиподи (D-  і L-форми). Найпоширеніша в природі  D- форма (виноградний цукор або декстроза). В природі синтез глюкози відбувається з неорганічних речовин в процесі фотосинтезу і хемосинтезу (в рослинах). У вільному стані глюкоза разом з фруктозою міститься в меду, плодах, квітках та інших частинах рослин; у тваринних тканинах – у крові, лімфі, мозку, серцевому та скелетному м’язах тощо. Вільна глюкоза використовується організмом для біосинтезу  ряду інших цукрів – фруктози, сахарози, ксилоли,  глюкуронової кислоти тощо. Глюкоза є структурним елементом і багатьох інших речовин – клітковини, глікозидів,. Вірусної рибонуклеїнової кислоти. У тканинах тварин і людини глюкоза може перетворюватися на резервний вуглевод – глікоген. Глюкоза бере участь в багатьох реакціях обміну речовин, посідає центральне місце у вуглеводному обміні. Глюкоза – важливе джерело енергії в організмі. При повному окисленні глюкози до вуглекислого газу і води виділяється енергія, значна частина якої акумулюється макроергічнми (багатими на енергію) зв’язками аденозинтрифосфорної кислоти, АТФ та інших, подібних до АТФ сполук. Для деяких бактерій глюкоза – єдине джерело енергії.

Розклад глюкози в  організмі відбувається шляхом гліколізу  та у пентозофосфатному циклі. В крові людини міститься 100 мг % глюкози. Концентрації її регулюється гормонально та центральною нервовою системою. Глюкоза бере участь у регуляції водного режиму організму, стимуляції функцій клітин та в знешкодженні токсичних речовин, підвищує  діяльність серцевого м’яза, розширює судини, збільшує сечовиділення тощо. При багатьох захворюваннях кількість глюкози в крові збільшується, що веде до виділення її з сечею. Препарати    глюкози широко використовують у медицині. В промисловості глюкозу добувають при гідролізі крохмалю, застосовують у кондитерському виробництві та інше.

Молекулярна формула глюкози С6Н12О6 її будову визначено на основі вивчення властивостей. Так, глюкоза виявляє власти­вості багатоатомних спиртів і альдегідів.

Доведено, що в молекулі глюкози є альдегідна група і п'ять гідроксильних груп. Отже, глюкоза — це альдегідоспирт, її мо­лекула має таку будову:

           

Однак не всі властивості глюкози узгоджуються з її будовою як альдегідоспирту. Деяких реакцій, характерних для альдегі­дів, глюкоза не дає. Справа в тому, що глюкоза е сполукою з мі­шаною функцією, її природа ускладнюється можливістю внутрішньо молекулярних взаємодій гідроксильної групи з карбонільною групою, завдяки чому глюкоза Існує не тільки у відкритій ланцюговій формі, айв циклічних α- та β-формах, які відрізняються розміщенням гідроксильних груп відносно площини кільця. Циклічну будову молекула глюкози має у кристалічному стані, у водних же розчинах вона існує у двох різних формах, які взаємно переходять одна в одну:




ХІМІЧНІ ВЛАСТИВОСТІ ГЛЮКОЗИ.

Хімічні властивості глюкози обумовлені наявністю гідро­ксильних і альдегідної груп. Тому глюкоза вступає в реакції, характерні для спиртів і альдегідів.

1.Якісна реакція на глюкозу:

Якщо до розчину глю­кози влити гідроксид міді (II), то він набуває яскраво-синього забарвлення, подібно до того, як це відбувається з гліцерином. Якщо підігріти яскраво-синій розчин, який добули, з'являється червоний осад, який свідчить що наявність альдегідної групи.


2. Окиснення глюкози оксидом аргентума (якісна реакція на глюкозу):


Як альдегід глюкоза легко окиснюється. Вона вступає в ре­акцію «срібного дзеркала», окиснюючись до глюконової кис­лоти:


3. Глюкоза окиснюється гідроксидом міді (II) під час кипіння також до глюконової кислоти:

4. Як багатоатомний спирт глюкоза вступає в реакції етерифікації з органічними кислотами і утворює естери;

Одна молекула глюкози взаємодіє з п'ятьма молекулами оцтової кислоти, що підтверджує наявність у молекулі глюкози п'яти спиртових гідроксигруп.

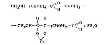
5. За участю гідроксильних груп відбувається взаємодія глю­кози з гідроксидами металів з утворенням сахаратів:

При взаємодії глюкози з гідроксидом міді (II) утворюється сахарат міді — сполука синього кольору. Цю реакцію викори­стовують для виявлення цукру в сечі.


6. Спиртове бродіння глюкози: Велике значення мають процеси бродіння глюкози, які відбуваються під дією органічних каталізаторів — ферментів  (вони виробляються мікроорганізмами). Відомо кілька видів бродіння. Спиртове бродіння відбувається під дією ферментів дріжджів. Складний хімізм цього процесу сумарно виражає­ться рівнянням:



7.   Молочнокисле бродіння глюкози відбувається під дією молочнокислих бактерій:


Молочна кислота утворюється при скисанні молока, ква­шенні капусти, огірків, силосуванні зелених кормів.

8. Глюкоза подібно до альдегідів може відновлюватись, пе­ретворюючись на шестиатомний спирт — сорбіт:

Сорбіт вперше був виділений з плодів горобини. Він приблизно вдвічі менш солодкий, ніж звичайний цукор. Сорбіт не підвищує вмісту глюкози в крові, тому його використовують замість цукру в харчуванні людей, хворих на цукровий діабет.

9. Окислення: Глюкоза — цінна поживна речовина. При окисненні її у тка­нинах вивільнюється енергія, необхідна для нормальної життєдіяльності організму. Реакцію окиснення можна подати сумарним рівнянням:

С6Н12О6 + 6О2 à6СО2 + 6Н2О

В обміні речовин глюкоза займає центральне місце, оскільки е енергетичним «паливом» для численних процесів, що від­буваються в клітинах організму. Глюкоза — необхідний ком­понент крові, її вміст у крові людини становить 80 —120 мг в 100 мл. Коли вміст глюкози у крові становить більше ніж 180 мг, порушується вуглеводневий обмін, виникає хвороба діабет.

У зв'язку з тим, що глюкоза легко і швидко засвоюється, її застосовують як засіб посиленого харчування, а також для виготовлення лікувальних препаратів, при консервуванні крові. Вона широко використовується в кондитерському виробництві, у виробництві дзеркал та іграшок (сріблення). Нею користую­ться при обробці й фарбуванні тканин і шкір.

10.Добування глюкози. У промисловості глюкозу добувають із більш складного вуглеводню — крохмалю:

 

Н2SО4

 


а) (-С6Н1205)n + Н2О           C6Н12О6 + С6Н1206


б)  Рівняння Бутлерова:


Н

 
    6 Н-С                С6Н12О6

 

 

в)  Фотосинтез

 


   

    6СО2 + 6Н2О            C6Н12О6 + 6О2

ФРУКТОЗА

До моносахаридів належить і фруктоза С,,НІ_>ОІ„ або, як її називають, плодовий цукор. Це ізомер і супутник глюкози у багатьох плодових і ягідних соках.

На відміну від глюкози фруктоза є кетоноспиртом, до її складу входить функціональна кетонна група:

     

Фруктоза значно солодша за глюкозу, у суміші з нею вхо­дить до складу меду. Фруктоза — найкращий вид цукру для хворих атеросклерозом, при порушенні в організмі обміну жирів.



Фруктоза є кетоноспиртом. Вона разом із глюкозою міститься у солодких плодах та меді. Фруктоза має більш солодкий смак, ніж глюкоза й цукроза.

ЦУКРОЗА


Цукроза — речовина солодкого смаку, дуже добре розчинна у воді. Міститься в багатьох рослинах, здебільшого у їх плодах.


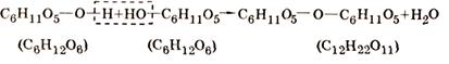
Сахароза, яку ще називають буряковим, або тростинним, цукром — найважливіша сполука з дисахаридів. Молекулярна формула її — СІ.'Н._>О|І. У великих кількостях сахароза мі­ститься у буряках і стеблах цукрової тростини, а також у бере­зовому і кленовому соках, у багатьох плодах і овочах.

1. Гідроліз: Сахароза (звичайний цукор) — біла кристалічна речовина, солодша за глюкозу, добре розчинна у воді. Важлива хімічна властивість сахарози — здатність до гідролізу (при нагріванні і наявності іонів водню як каталізатора). При цьому з однієї молекули сахарози утворюється молекула глюкози й молекула фруктози:

Це підтверджує, що молекули сахарози складаються із спо­лучених один з одним залишків молекул глюкози і фруктози. Сахарозу порівняно з глюкозою можна розглядати ніби подвій­ним цукром, через що вона й належить до дисахаридів (грецьке слово ди означає «двічі»).

Утворення дисахаридів можна уявити собі як процес, зво­ротний їх гідролізу:

2. Реакція срібного дзеркала: Сахароза не дає реакції «срібного дзеркала» і не має відновних властивостей. У цьому її відмінність від глюкози. В той же час вона, як І глюкоза, легко взаємодіє з гідроксида­ми металів. Так, суспензія гідроксиду кальцію розчиняється у розчині сахарози з утворенням сахарату кальцію, подібного за будовою до сполуки глюкози з кальцієм.

3. Взаємодія з купрум (ІІ) гідроксидом:

В Україні сахарозу (цукор) добувають з цукрового буряку. Для виділення сахарози цей природний продукт миють, подрібнюють І обробляють гарячою водою. Разом з сахарозою в розчин переходять різні кислоти, барвні речовини, від яких треба позбавитись. Обробляють розчин вапняним молоком. Ма­лорозчинні кальцієві солі більшості органічних кислот випада­ють в осад. Сахароза з гідроксидом кальцію утворює розчинний у воді сахарат кальцію. Щоб розкласти його і нейтралізувати надлишок гідроксиду кальцію, крізь добутий розчин пропуска­ють оксид вуглецю (IV). Після осадження кальцію у вигляді карбонату розчин фільтрують, упарюють і одержують криста­лики піскового цукру жовтуватого кольору, який надають йому барвні речовини. З метою додаткового очищення цукор знову розчиняють у воді і добутий розчин пропускають крізь активо­ване вугілля, після чого його упарюють і кристалізують.

Сахароза не лише важливий продукт харчування — її по­хідні використовуються в техніці, наприклад як пластифіка­тори у виробництві пластмас. Вона застосовується також для виготовлення деяких ліків, мікстур для дітей, сиропів тощо.

Схема одержання цукрози із цукрового буряка




Цукровий буряк


Стружка цукрового буряка


Розчин цукрози з домішками




Нерозчинні солі кальцію


                             Цукроза            Розчин цукрози

Застосування глюкози і цукрози




Глюкоза


Цукроза


 


1.    У кондитерській промисловості.

2.         У медицині

3.    У текстильній промисловості
(для відділки тканин)

 


1.   У кондитерській промисловості.

2. Як продукт харчування

3. Для одержання штучного меду



Вправа  У п'яти пробірках без написів містяться розчини таких речовин: гліцерину, оцтового альдегіду, мурашиної кислоти, пропіонової кислоти, глюкози. Запропонуйте план визначення кожної з цих ре­човин, використовуючи розчини карбонату натрію, гідроксиду натрію, сульфату міді (II). Масова частка кожної з зазначених речовин у цих розчинах становить 10 %.

Р о з в' я з а н н я. За допомогою розчину карбонату натрію можна визначити мурашину і пропіонову кислоти за виділенням вуглекисло­го газу:

Після цього в пробірки .і кислотами додаємо свіжоосаджении гідроксид міді (II) і суміш нагріваємо. За утворенням червоного осаду оксиду міді (І) і виділенням СО2.і виявляємо мурашину кислоту:

У три пробірки, що залишились, додаємо свіжоосаджении гідроксид міді (II) і за появою інтенсивно синього забарвлення визна­чаємо гліцерин і глюкозу. Так, для гліцерину цей процес описується за рівнянням, поданим на с- 115.

При подальшому нагріванні вмісту цих трьох пробірок виявимо оцтовий альдегід і глюкозу за утворенням червоного осаду:

   1. Які речовини відносять до вуглеводів і звідки погодить ця назва?

   2. Як класифікують вуглеводи?

3.  Як побудована молекула глюкози? Які функціональні груші містяться
в ній?

4.  Як можна довести наявність у молекулі глюкози альдегідної групи?

5.  Як дослідним  шляхом довести, що в молекулі глюкози є п’ять гідроксильних груп?

6.  Наведіть рівняння реакцій, у яких глюкоза виявляє:

а)  відновні властивості:    б) окисні властивості.

7.  Яке значення глюкози в життєвих процесах організмів тварин і людини?

8.  Які види бродіння глюкози вам відомі? Назвіть їх практичне значення.

9.  Чому буряковий (тростинний) цукор належить до дисахаридів?

10.     Які групи речовин дають реакцію «срібного дзеркала”:

а) глюкоза, гліцерин, етиленгліколь;

б) гліцерин, глюкоза, сахароза:

в) глюкоза, формальдегід, метанова кислота?

11.     Які я речовин виявляють змішані функції:

а) глюкоза і гліцерин;

б) глюкоза і олеїнова кислота;

в) глюкоза І оцтова кислота;

г) глюкоза і метанова кислота?





© 2009 РЕФЕРАТЫ
рефераты бесплатно