Контрольная работа: Двокроковий метод найменших квадратів
Контрольная работа: Двокроковий метод найменших квадратів
Двокроковий
метод найменших квадратів
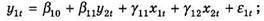
Нехай маємо таку модель:
функція доходу:
(1)
функція пропозиції грошей:
(2)
де – доход; – запас грошей; – інвестиційні витрати; – витрати уряду на товари
та послуги.
Змінні та є екзогенними, та – ендогенними.
Рівняння доходу, яке ми розглядаємо, показує, що доход
визначається пропозицією грошей, інвестиційними витратами та витратами уряду.
Рівняння пропозиції грошей показує, що запас грошей визначається відповідно до
рівня доходів. Очевидно, що ми маємо симультативну модель.
Застосовуючи умову порядку для її ототожнення, бачимо, що
рівняння доходу неототожнене, тоді як рівняння пропозиції грошей –
переототожнене. Переототожнена функція пропозиції грошей не може бути оцінена
за допомогою методу ННК, тому що ми отримаємо дві різні оцінки .
Якщо застосувати метод найменших квадратів для оцінки
невідомих параметрів рівняння пропозиції грошей, то отримані оцінки будуть
зміщеними через кореляцію між змінною та
випадковою величиною . Припустимо, що
ми знайшли змінну, близьку до змінної в
тому сенсі, що вона високо корелює з , але не є корельованою з . Така змінна називається
допоміжною змінною. Якщо її можна знайти, то МНК можна застосовувати для оцінки
функції грошової пропозиції. Але як отримати таку допоміжну змінну? За
допомогою методу двокрокових найменших квадратів. З назви видно, що метод
складається з двох етапів.
1. Щоб позбавитись кореляції між і
, побудуємо спочатку
регресійне рівняння залежності від
усіх попередньо визначених змінних:
(3)
де et є помилками. Невідомі параметри рівняння (3) отримаємо за допомогою МНК:
(4)
Рівняння (3) є нічим іншим, як регресією скороченої форми,
тому що в правій частині з'являються тільки екзогенні або попередньо визначені
змінні. Його ще можна записати у вигляді:
(5)
який показує, що змінна складається
з двох частин: – прогнозної
величини та випадкової компоненти еt. Виходячи з класичних припущень
методу найменших квадратів, та et – некорельовані між собою.
2. Рівняння пропозиції грошей можна записати таким чином:
(6)
де .
Порівнюючи (6) з (2) бачимо, що зовні ці рівняння дуже
схожі, єдина відмінність полягає в тому, що замінено
на . В чому полягає перевага
рівняння у вигляді (6)? Хоча в початковому рівнянні
грошової пропозиції корелює з відхиленням ,
в (6) не корелюється з (у випадку, коли розмір
моделі зростає пропорційно). В результаті, МНК можна застосувати до (6), з
якого можна знайти відповідні оцінки параметрів функції пропозиції грошей.
Для подальшої ілюстрації методу 2МНК видозмінимо модель
доходу та пропозиції грошей:
(7)
(8)
де додатково – доход
у попередньому періоді; –
пропозиція грошей у попередньому періоді (вважаємо, що та – попередньо визначені).
Обидва рівняння (7) і (8) є переототожненими.
Для того, щоб застосувати метод 2МНК, на першому етапі побудуємо регресійну
модель залежності ендогенних змінних від усіх попередньо визначених змінних:
(9), (10)
На другому етапі заміщуємо та
в початкових (структурних)
рівняннях їхніми оціненими значеннями з двох попередніх регресій:
(11)
(12)
де
Отримані таким чином оцінки будуть спроможними, тобто з
розміром вибірки наближатимуться до BLUE-оцінок.
Можна виділити такі особливості методу 2МНК.
1. Метод можна застосувати до окремого рівняння в системі без
врахування інших. Отже, для економетричних моделей, що складаються з великої
кількості рівнянь, метод 2МНК є дуже економним, тому він широко
використовується на практиці.
2. На відміну від МНК, який дає декілька різних оцінок
параметра у переототожнених рівняннях, 2МНК дає лише одну оцінку параметра.
3. Для застосування методу потрібно знати тільки загальну
кількість екзогенних або попередньо визначених змінних у системі.
4. Хоча метод 2МНК був спеціально
розроблений для переототожнених рівнянь, його також можна застосовувати до
точно ототожнених рівнянь. У цьому разі МНК та 2МНК дадуть ідентичні оцінки.
Задача
№ 1
У
таблиці наведені статистичні дані для економічного показника та фактора :
|
Рік
|

|

|
| 1987 |
30 |
18 |
| 1988 |
33 |
19 |
| 1989 |
38 |
21 |
| 1990 |
47 |
22 |
| 1991 |
54 |
24 |
– реальний валовий продукт, млн.
грн.;
– кількість витрат на капітал, млн.
грн.
; ; ; .
На
основі цих даних:
·
побудувати
діаграму розсіювання;
·
обчислити
числові характеристики показника і фактора: середні значення, дисперсії,
середні квадратичні відхилення, кореляційний момент та коефіцієнт кореляції;
·
записати
рівняння лінійної регресії та знайти оцінки параметрів цього рівняння;
·
побудувати
лінію регресії;
·
використовуючи
критерій Фішера, з надійністю Р=0,95 оцінити адекватність прийнятої
економетричної моделі статистичним даним;
·
з
надійністю Р=0,95 знайти надійні зони для параметрів регресії та розрахункових
значень показника;
·
для
заданого значення фактора обчислити прогнозне
значення економічного показника та
визначити його інтервали довіри;
·
знайти
коефіцієнти еластичності для базисних даних та для прогнозного значення;
·
зробити
економічний аналіз.
Рішення:
Складемо робочу таблицю:
| Рік |

|

|

|

|

|

|

|

|

|

|

|
|
1
|
2
|
3
|
4
|
5
|
6
|
7
|
8
|
9
|
10
|
11
|
12
|
| 1987 |
30 |
18 |
-10,4 |
-2,8 |
29,12 |
108,16 |
7,84 |
28,9 |
1,1 |
1,15 |
2,55 |
| 1988 |
33 |
19 |
-7,4 |
-1,8 |
13,32 |
54,76 |
3,24 |
33,0 |
0,0 |
0,00 |
2,36 |
| 1989 |
38 |
21 |
-2,4 |
0,2 |
-0,48 |
5,76 |
0,04 |
41,2 |
-3,2 |
10,36 |
2,09 |
| 1990 |
47 |
22 |
6,6 |
1,2 |
7,92 |
43,56 |
1,44 |
45,3 |
1,7 |
2,84 |
1,99 |
| 1991 |
54 |
24 |
13,6 |
3,2 |
43,52 |
184,96 |
10,24 |
53,5 |
0,5 |
0,24 |
1,84 |
|

|
202 |
104 |
0 |
0 |
93,4 |
397,2 |
22,8 |
202 |
0 |
14,59 |
|
Побудуємо
діаграму розсіювання:

Обчислимо
числові характеристики показника і фактора:
Середні
значення
; .
Дисперсії
;
.
Середньоквадратичні
відхилення
; .
Кореляційний
момент (коваріація)
.
Коефіцієнт
кореляції
.
Висновок:
коефіцієнт кореляції дорівнює 0,981, що свідчить про наявність дуже сильного
прямого зв’язку між кількістю витрат на капітал і реальним валовим продуктом.
Запишемо
рівняння лінійної регресії залежності реального валового продукту від кількості
витрат на капітал:
.
Точкові
оцінки параметрів і одержимо, використовуючи
метод найменших квадратів:
; .
Одержимо
рівняння регресії, що визначає залежність показника від
фактора :
.
Обчислимо
значення регресії:
.
Побудуємо
лінію регресії:

Висновок:
якщо витрати капіталу зростуть на 1 млн. грн., то за інших рівних умов реальний
валовий продукт збільшиться на 4,1 млн. грн.
Зробимо
оцінку статистичної якості одержаного рівняння регресії. Для цього обчислимо
відхилення
.
Сума
відхилень дорівнює нулю, отже, розрахунок виконано правильно.
Вибіркова
дисперсія характеризує міру розсіювання значень показника біля значень регресії
.
Розрахуємо
коефіцієнт детермінації:
.
Індекс
кореляції
.
Коефіцієнт
детермінації дорівнює 0,9633, отже, достовірно 96,33% дисперсії економічного
показника .
Оскільки
значення близьке до 1, то можна
вважати, що побудована економетрична модель адекватна даним спостереження і на
її основі можна проводити економічний аналіз.
Використовуючи
критерій Фішера, з надійністю Р=0,95 оцінимо адекватність прийнятої
економетричної моделі статистичним даним.
Розрахункове
значення F-статистики обчислимо за формулою:
.
Висновок:
за статистичною таблицею F-розподілу Фішера для заданої довірчої ймовірності
(надійності) і числа ступенів вільності
і
знаходимо
критичне значення F-статистики:
.
Оскільки
, то з надійністю 0,95
побудована економетрична модель адекватна даним спостережень.
Визначимо
надійні зони для параметрів регресії:
; .
Для і числа ступенів вільності
знайдемо табличне значення
критерію Стьюдента: .

Визначимо
надійні зони розрахункових значень показника за формулою
, де .
Розрахунок
надійних зон представимо в таблиці:
| Рік |

|

|

|

|

|

|

|
| 1987 |
30 |
18 |
7,84 |
28,9 |
8,7 |
20,2 |
37,6 |
| 1988 |
33 |
19 |
3,24 |
33,0 |
8,1 |
24,9 |
41,2 |
| 1989 |
38 |
21 |
0,04 |
41,2 |
7,7 |
33,5 |
48,9 |
| 1990 |
47 |
22 |
1,44 |
45,3 |
7,9 |
37,4 |
53,2 |
| 1991 |
54 |
24 |
10,24 |
53,5 |
9,0 |
44,5 |
62,5 |
Прогнозні
значення показника обчислимо за формулою
.
Визначимо
довірчі межі прогнозних значень:
.
|

|

|

|

|

|

|

|
| 15 |
33,64 |
16,6 |
11,5 |
5,2 |
28,1 |
3,693 |
| 10 |
116,64 |
-3,8 |
17,6 |
-21,5 |
13,8 |
-10,662 |
| 25 |
17,64 |
57,6 |
9,9 |
47,7 |
67,5 |
1,778 |
| 30 |
84,64 |
78,1 |
15,6 |
62,5 |
93,6 |
1,574 |
Знайдемо
коефіцієнти еластичності за формулою:
.
Висновок:
для прогнозного значення значення
коефіцієнта еластичності дорівнює
1,574, отже, при зміні значення фактора на
1% показник змінюється на 1,574%.
Задача
№ 2
На
основі статистичних даних для економічного показника та факторів Х1, Х2
побудувати рівняння багатофакторної лінійної регресії, оцінити загальну якість
отриманої лінійної регресії за допомогою коефіцієнта детермінації, обчислити
частинні коефіцієнти еластичності для базисних даних та дати економічну
інтерпретацію отриманих результатів.
| Умовний час |
Попит на товар першої необхідності на одиницю
населення, Y, кг |
Ціна, перерахована за індексом інфляції, X1, грн./кг |
Прибуток на одиницю населення з урахуванням індексу
цін, X2, тис. грн. |
| 1 |
55 |
2,2 |
3,5 |
| 2 |
62 |
2,1 |
3,7 |
| 3 |
50 |
2 |
2,9 |
| 4 |
30 |
2,6 |
2,1 |
| 5 |
33 |
1,9 |
1,8 |
| 6 |
41 |
1,2 |
1,6 |
Розв’язання:
Запишемо
лінійну функцію попиту:
.
Для
визначення , і складемо нормальну систему
рівнянь у вигляді

Всі
обчислення представимо в таблиці:
|
i
|
yi
|
x1i
|
x2i
|
x1i2
|
x2i2
|
yi x1i
|
yi x2i
|
x1i x2i
|

|

|

|

|

|
| 1 |
55 |
2,2 |
3,5 |
4,84 |
12,25 |
121 |
192,5 |
7,7 |
56,4 |
2,03 |
96,69 |
-0,544 |
0,988 |
| 2 |
62 |
2,1 |
3,7 |
4,41 |
13,69 |
130,2 |
229,4 |
7,77 |
60,9 |
1,23 |
283,36 |
-0,461 |
0,927 |
| 3 |
50 |
2 |
2,9 |
4 |
8,41 |
100 |
145 |
5,8 |
49,8 |
0,03 |
23,36 |
-0,544 |
0,901 |
| 4 |
30 |
2,6 |
2,1 |
6,76 |
4,41 |
78 |
63 |
5,46 |
29,2 |
0,57 |
230,03 |
-1,178 |
1,087 |
| 5 |
33 |
1,9 |
1,8 |
3,61 |
3,24 |
62,7 |
59,4 |
3,42 |
34,1 |
1,21 |
148,03 |
-0,783 |
0,847 |
| 6 |
41 |
1,2 |
1,6 |
1,44 |
2,56 |
49,2 |
65,6 |
1,92 |
40,5 |
0,24 |
17,36 |
-0,398 |
0,606 |
| Разом |
271 |
12 |
15,6 |
25,06 |
44,56 |
541,1 |
754,9 |
32,07 |
271 |
5,31 |
798,83 |
|
|
Після підстановки значень сум одержимо систему лінійних рівнянь:

Для
її розв’язку використаємо формули Крамера:
;
; ;
; ;
; .
Тоді
лінійна функція попиту на цукор прийме вигляд
.
Якість
лінійної регресії оцінимо за допомогою коефіцієнта детермінації:
.
Коефіцієнт
детермінації дорівнює 0,9933, отже, достовірно 99,33% дисперсії економічного
показника . Оскільки значення близьке до 1, то можна
вважати, що побудована економетрична модель адекватна даним спостереження і на
її основі можна проводити економічний аналіз.
Частинні
коефіцієнти еластичності визначимо за формулами (див. два останніх стовпчики
розрахункової таблиці):
; .
Висновок: При збільшення ціни на товар першої необхідності на 1% попит
зменшується на 0,4-1,2%, а при збільшенні доходу на одиницю населення на 1%
попит зростає на 0,6-1,1%.
Література
1. Лук'яненко І.М., Краснікова
Л.І.. Економетрика: Підручник. - К.: Товариство "Знання", КОО, 1998 -
494с.
2. Наконечний С.І., Терещенко
Т.О., Романюк Т.П. Економетрія: Підручник. - Вид.2-ге, допов. та перероб. - К.:
КНЕУ, 2000 - 296с.
3. Толбатов Ю.А. Економетрика:
Підручник для студентів економічних спеціальностей вищих навчальних закладів. -
К.: Четверта хвиля, 1997 - 320с.
|